Pharmaceutical Impurities
We supply high-quality Pharmaceutical Impurities required for method development, validation, stability studies, and regulatory submissions. Our portfolio includes process impurities and custom-developed impurity standards.
All impurities are provided with complete analytical data and documentation to ensure accuracy, traceability, and regulatory compliance.
We also offer custom synthesis for rare or complex impurities, supporting customers from R&D to commercial development with reliable quality and timely delivery.
Our Portfolio Includes
Process Impurities
Impurities formed during API synthesis due to starting materials, reagents, or reaction by-products.
Custom Synthesis Impurities
Tailor-made impurity standards synthesized on demand for method development, validation, and regulatory submissions.
Impurities Sheet 1
| Sr. No. | Product Name | Structure | CAS Number | API Name |
|---|---|---|---|---|
| 1 | Ethyl,2-((3aR,4S,6R,6aS)-6-amino-2,2-dimethyltetrahydro-3aH- cyclopenta[d][1,3]dioxol-4-yloxy)acetate oxalic acid salt | ![]() | 1402149-98-7 | Ticagrelor |
| 2 | (2-Aminoethyl)urea hydrochloride | ![]() | 858001-69-1 | |
| 3 | (2R,3S)-2-((R)-1-(3,5-bis(trifluoromethyl)phenyl)ethoxy)-3-(4- fluorophenyl)-4-nitrosomorpholine (N-Nitroso Aprepitant Impurity 2) | ![]() | NA | Aprepitant |
| 4 | (3aR,4S,6R,6aS)-6-amino-2,2-dimethyltetrahydro-3aH-cyclopenta[d][1,3]dioxol-4-ol | ![]() | 155899-66-4 | Ticagrelor |
| 5 | (4-amino-2-methylphenyl)(7-chloro-5-hydroxy-2,3,4,5-tetrahydro-1H-benzo[b]azepin-1-yl)methanone | ![]() | 1432725-24-0 | Tolvaptan Impurity 6 |
| 6 | 4-Hydroxy Omeprazole ; 4'-O-Desmethylomeprazole | ![]() | 179952-05-7 | Omeprazole |
| 7 | (S)-(1-methyl-1H-indol-3-yl)(4,5,6,7-tetrahydro-1H-benzo[d]imidazol-5-yl)methanone, hydrochloride | ![]() | 132036-90-9 | Ramosetron |
| 8 | (4Z)-6-(1,3-Dihydro-4-hydroxy-6-methoxy-7-methyl-3-oxo-5-isobenzofuranyl)-4-methyl-4-hexenoic Acid | ![]() | 483-60-3 | Mycophenolic Acid |
| 9 | 2-(Tert-butylamino)-1-(3,5-dichlorophenyl)propan-1-one | ![]() | 6323-18-8 | Bupropion |
| 10 | 1,3-Diacetyl-2-Imidazolidinone | ![]() | 5391-40-2 | Moxonidine Impurity 2 |
| 11 | 1,3,5-Triazinane-2,4-dione | ![]() | 27032-78-6 | - |
| 12 | 1-Nitroso-3-piperidinamine | ![]() | 2819242-71-0 | NA |
| 13 | 2-(2-methylanilino)benzoic Acid | ![]() | 16610-44-9 | Intermediate |
| 14 | 2-(4-nitrosopiperazin-1-yl)ethan-1-ol | ![]() | 48121-20-6 | yl |
| 15 | 2-(5-chloro-2-methylanilino)benzoic acid | ![]() | 13710-20-8 | |
| 16 | 2,2'-dichloro-10-(3-(4-methylpiperazin-1-yl)propyl)-10H-3,10'-Biphenothiazine | ![]() | 1310578-36-9 | dichloro |
| 17 | (1S,2S,3R,5S)-3-(7-(((1R,2S)-2-(2,3-difluorophenyl)cyclopropyl)amino)-5-(propylthio)-3H-[1,2,3]triazolo[4,5-d]pyrimidin-3-yl)-5-(2-hydroxyethoxy)cyclopentane-1,2-diol | ![]() | 1643378-48-6 | Ticagrelor |
| 18 | 2-Chloro-10H-phenothiazine | ![]() | 500305-74-8 | Prochlorperazine Impurity D |
| 19 | 2-methyl -3-Bromo - Ethyl propionate | ![]() | 59154-46-0 | |
| 20 | 3-morpholino-1-(4-(2-oxopiperidin-1-yl)phenyl)pyridin-2(1H)-one | ![]() | 2413365-22-5 | Apixaban |
| 21 | 4-(3-Hydroxypropylamino)-1,3-dimethyluracil | ![]() | 34654-80-3 | Urapidil |
| 22 | 4-(8-Chloro-5,6-dihydro-11H-benzo[5,6]cyclohepta[1,2-b]pyridin-11-ylidene)-1-piperidinecarboxaldehyde | ![]() | 117810-61-4 | Desloratadine |
| 23 | 4a-Hydroxy-5-methyltetrahydrofolate | ![]() | 33157-07-2 | |
| 24 | 4-Amino-2-piperazinyl-6,7-dimethoxyquinazoline | ![]() | NA | |
| 25 | 4-Hydroxymethyl Vortioxetine | ![]() | 1429750-85-5 | Vortioxetine |
| 26 | N-(1-((6-chloro-5-hydroxypyridin-3-yl)methyl)-4, 5-dihydro-1H-imidazol-2-yl)nitramide | ![]() | 380912-09-4 | Imidacloprid |
| 27 | 5-Hydroxy Pioglitazone | ![]() | 625853-74-9 | Pioglitazone |
| 28 | 5-Hydroxy-albuterol/ 5-(2-(tert-butylamino)-1-hydroxyethyl)-3-(hydroxymethyl)benzene-1,2-diol | ![]() | 182676-90-0 | albuterol |
| 29 | 8-Bromo-6,11-dihydro-11-(piperidin-4-ylidene)-5H-benzo[5,6]cyclohepta[1,2-b]pyridine | ![]() | 17796-50-6 | Desloratadine |
| 30 | 8-chloro-11-(1, 2, 3, 6-tetrahydropyridin-4-yl)-6, 11-dihydro-5H-Benzo [5,6] cyclohepta [1, 2-b]pyridine hydrochloride | ![]() | 183198-49-4 | Desloratadine |
| 31 | Abemaciclib Impurity 20 | ![]() | 2346512-66-9 | Abemaciclib Impurity 20 |
| 32 | [2-[(2,6-Dichlorophenyl)amino]phenyl]acetic acid | ![]() | 15307-86-5 | Aceclofenac EP Impurity A |
| 33 | Methyl [2-[(2,6-dichlorophenyl)amino]phenyl]acetate | ![]() | 15307-78-5 | Aceclofenac EP Impurity B |
| 34 | Ethyl [2-[(2,6-dichlorophenyl)amino]phenyl]acetate | ![]() | 15307-77-4 | Aceclofenac EP Impurity C |
| 35 | Methyl [[[2-[(2,6-dichlorophenyl)amino]phenyl] acetyl]oxy]acetate | ![]() | 139272-66-5 | Aceclofenac EP Impurity D |
| 36 | Ethyl [[[2-[(2,6-dichlorophenyl) amino] phenyl] acetyl] oxy] acetate | ![]() | 139272-67-6 | Aceclofenac EP Impurity E |
| 37 | N-(2,6-Dichlorophenyl)-2-indolinone | ![]() | 15362-40-0 | Aceclofenac EP Impurity I |
| 38 | 2-[(2-Amino-6-oxo-1,6-dihydro-9H-purin-9-yl)methoxy]ethyl acetate | ![]() | 102728-64-3 | Aciclovir EP Impurity A |
| 39 | 2-Amino-1,7-dihydro-6H-purin-6-one | ![]() | 73-40-5 | Aciclovir EP Impurity B |
| 40 | Benzyl [[[2-[(2,6-dichlorophenyl)amino]phenyl] acetyl]oxy]acetate | ![]() | 110104-37-5 | Aciclovir EP Impurity F |
| 41 | N-[9-[[2-(Acetyloxy)ethoxy]methyl]-6,9-dihydro-6-oxo-1H-purin-2-yl]acetamide | ![]() | 75128-73-3 | Aciclovir EP Impurity G |
| 42 | N-(9-Acetyl-6,9-dihydro-6-oxo-1H-purin-2-yl)acetamide | ![]() | 3056-33-5 | Aciclovir EP Impurity L |
| 43 | (4-[2-[(1,1-Dimethylethyl)amino]-1-hydroxyethyl]-2-methylphenol sulfate) | ![]() | 18910-68-4 | Albuterol |
| 44 | 11-(1-methylpiperidin-4-ylidene)-6,11-dihydro-5H-benzo[d]imidazo[1,2-a]azepine | ![]() | 147083-36-1 | Alcaftadine Impurity 3 |
| 45 | (2E)-3-[4-[[2-[(4-Cyanophenyl)amino]-4-pyrimidinyl]amino]-3,5-dimethylphenyl]-2-propenamide | ![]() | 500288-66-4 | Amide-1 Rilpivirine Impurity |
| 46 | 4-[[4-[[4-[(1E)-2-Cyanoethenyl]-2,6-dimethylphenyl]amino]-2-pyrimidinyl]amino]benzamide | ![]() | 1446439-51-5 | Amide-2 Rilpivirine Impurity |
| 47 | 3-Methyl 5-methyl 4-(2-chlorophenyl)-2,6-dimethyl-1,4-dihydropyridine-3,5-dicarboxylate | ![]() | 43067-01-2 | Amlodipine Impurity G |
| 48 | 6-(4-((5-Amino-5-oxopentyl)amino)phenyl)-1-(4-methoxyphenyl)-7-oxo-4,5,6,7-tetrahydro-1H-pyrazolo[3,4-c]pyridine-3-carboxamide | ![]() | 2187409-01-2 | Apixaban Open Ring Amide |
| 49 | 2-(3-((5-(Acryloyloxy)pentyl)oxy)-3-oxopropyl)-1-(3,4-dimethoxybenzyl)-6,7-dimethoxy-2-methyl-1,2,3,4-tetrahydroisoquinolin-2-ium benzenesulfonate | ![]() | 86293-35-8 | Atracurium Besylate EP Impurity C |
| 50 | 1-(3,4-Dimethoxybenzyl)-2-[3-[(5-hydroxypentyl)oxy]-3-oxopropyl]-6,7-dimethoxy-2-methyl-1,2,3,4-tetrahydroisoquinolinium Iodide | ![]() | 87046-72-8 | Atracurium Besylate EP Impurity D |
| 51 | (1R,3r,5S)-8-Aza-bicyclo[3.2.1]octan-3-yl (2RS)-3-hydroxy-2-phenylpropanoate | ![]() | 16839-98-8 | Atropine Impurity B (EP CRS) |
| 52 | (2RS)-2-Amino-3-hydroxy-N',N'-bis[(2,3,4-trihydroxyphenyl)methyl]propanehydrazide | ![]() | 2472968-83-3 | Benserazide Impurity B |
| 53 | [Oxybis(methanetriyl)]tetrakisbenzene | ![]() | 574-42-5 | Ebastine EP Impurity H |
| 54 | (2RS)-1-(4-Ethylphenoxy)-3-[(1-methylethyl)amino]propan-2-ol | ![]() | 67193-95-7 | Betaxolol Impurity A (EP CRS) |
| 55 | 2,2`-oxybis(methylene)bis(4-[2-(tert-butylamino)-1-hydroxyethyl]phenol) | ![]() | 147663-30-7 | Bis Ether Albuterol |
| 56 | 2-((2-Amino-6-oxo-1,6-dihydro-9H-purin-9-yl)methoxy)propane-1,3-diyl (2S,2'S)-bis(2-amino-3-methylbutanoate) | ![]() | 130914-71-5 | Ganciclovir |
| 57 | 1-(2,3-Dihydro-[2,4'-bibenzo[b]thiophen]-4-yl)-4-nitrosopiperazine | ![]() | 2761668-93-1 | Brexpiprazole Nitroso Impurity |
| 58 | 2H-Thieno[3,2-e]-1,2-thiazine-6-sulfonamide | ![]() | 154127-19-2 | Brinzolamide Imp A |
| 59 | (4R)-4-Amino-3,4-dihydro-2-(3-methoxypropyl)-2H-thieno[3,2-e]-1,2-thiazine-6-sulfonamide 1,1-dioxide | ![]() | NA | Brinzolamide Imp B |
| 60 | (S)-2-(2-oxo-4-propyl-2,5-dihydro-1H-pyrrol-1-yl)butanamide | ![]() | 357338-13-7 | Brivaracetam Dihydro Impurity |
| 61 | 2-Amino-1-(3-chlorophenyl)-1-propanone hydrochloride | ![]() | 2227990-16-9 | Bupropion Amine |
| 62 | 1-(3,5-Dichlorophenyl)propan-1-one | ![]() | 92821-92-6 | Bupropion Impurity 2 |
| 63 | 1-(3-chlorophenyl)-2-hydroxy-1-propanone | ![]() | 152943-33-4 | Bupropion related compound C |
| 64 | 1-(3-Chlorophenyl)-1-hydroxy-2-propanone | ![]() | 857233-13-7 | Bupropion Related Compound F |
| 65 | (6R,7R)-7-((Z)-2-(Ethoxyimino)-2-(5-(phosphonoamino)-1,2,4-thiadiazol-3-yl)acetamido)-3-((4-(1-methylpyridin-1-ium-4-yl)thiazol-2-yl)thio)-8-oxo-5-thia-1-azabicyclo[4.2.0]oct-2-ene-2-carboxylate | ![]() | 229016-73-3 | Ceftaroline Fosamil Acetate Hydrate |
| 66 | (6R,7R)-7-[(E)-2-(2-Aminothiazol-4-yl)-2-(methoxyimino)acetamido]-3-{[(6-hydroxy-2-methyl-5-oxo-2,5-dihydro-1,2,4-triazin-3-yl)thio]methyl}-8-oxo-5-thia-1-azabicyclo[4.2.0]oct-2-ene-2-carboxylic Acid | NA | 92143-31-2 | Ceftriaxone Impurity A (BP/EP) |
| 67 | 2,3-Dihydroxypropyl 2-(2-(4-((4-chlorophenyl)(phenyl)methyl)piperazin-1-yl)ethoxy)acetate; Glyceryl ester of cetirizine Hydrochloride | ![]() | NA | Cetirizine Glycerol Ester Impurity Hydrochloride (HCL) |
| 68 | 2,3-Dihydroxypropyl 2-(2-(4-((4-chlorophenyl)(phenyl)methyl)piperazin-1-yl)ethoxy)acetate; Glyceryl ester of cetirizine | ![]() | 1243652-36-9 (free base) | Cetirizine Glycerol Ester Impurity Hydrochloride |
| 69 | N-[[6-[[[(4-chlorophenyl)carbamimidoyl]carbamimidoyl]amino]hexyl]carbamimidoyl]urea, | ![]() | 1308292-89-8 | Chlorhexidine Dihydrochloride Impurity B |
| 70 | (5R,6S)-2-[(4-Chlorophenyl)amino]-5-hydroxy-6-[(1R,2R)-1,2,3-trihydroxypropyl]-5,6-dihydro-4H-1,3-oxazin-4-one | ![]() | 2518301-34-1 | Chlorhexidine EP Impurity L |
| 71 | (1R,1'R,2S,2'S)-2,2'-((Pentane-1,5-diylbis(oxy))bis(3-oxopropane-3,1-diyl))bis(1-(3,4-dimethoxybenzyl)-6,7-dimethoxy-2-methyl-1,2,3,4-tetrahydroisoquinolin-2-ium) Dibenzenesulfonate | - | 96946-46-2 | Atracurium |
| 72 | (S)-2-(2-Chlorophenyl)-2-(6,7-dihydrothieno[3,2-c]pyridin-5(4H)-yl)acetic acid | ![]() | 144750-42-5 | Clopidogrel Acid |
| 73 | (RS)-2-Hydroxy-3-(1,2,3,4-tetrahydronaphthalen-1-yl)-4H-chromen-4-one | ![]() | 5836-29-3 | Coumatetralyl |
| 74 | Coα-[α-(5,6-dimethylbenzimidazolyl)]-Coβ-cyanocobamic a,b,c,d,g-pentaamide | - | 26264-28-8 | Cyanocobalamin EP Impurity B |
| 75 | 4-(5H-Dibenzo[a,d]cyclohepten-5-ylidene)-1-methyl-piperidine 1-Oxide | ![]() | 100295-63-4 | N |
| 76 | (1S)-1,5-anhydro-1-C-[4-chloro-3-[(4-ethoxyphenyl)methyl]phenyl]-D-glucitol | ![]() | 2271248-78-1 | Dapagliflozin (RS) Furanose |
| 77 | (2S,3R,4S,5S,6R)-2-(4-Chloro-3-(4-ethoxybenzyl)phenyl)-2-(((2R,3S,4R,5R,6S)-6-(4-chloro-3-(4-ethoxybenzyl)phenyl)-3,4,5-trihydroxytetrahydro-2H-pyran-2-yl)methoxy)-6-(hydroxymethyl)tetrahydro-2H-pyran-3,4,5-triol. | ![]() | 2452300-79-5 | Dapagliflozin Sugar Dimer |
| 78 | 2,2'-((2-Methylpyrimidine-4,6-diyl)bis(azanediyl))bis(N-(2-chloro-6-methylphenyl)thiazole-5-carboxamide) | ![]() | 2468737-80-4 | Dasatinib Impurity 15 |
| 79 | (4R,4aS,5aS,6S,12aS)-7-chloro-4-(dimethylamino)-3,6,10,12,12a-pentahydroxy-1,11-dioxo-1,4,4a,5,5a,6,11,12a-octahydrotetracene-2-carboxamide (as per EP) | - | 987-02-0 | Demethyltetracycline [Demeclocycline EP Impurity A] |
| 80 | 1-cyclopropyl-2-(6,7-dihydro-2-hydroxythieno[3,2-c]pyridin-5(4H)-yl)-2-(2-fluorophenyl) | ![]() | 201049-74-3 | Desacetyl Hydroxy Prasugrel |
| 81 | 5-(2-Cyclopropyl-2-oxo-1-phenylethyl)-4,5,6,7-tetrahydrothieno[3,2-c]pyridin-2-yl acetate hydrochloride | ![]() | 1391053-53-4 | Desfluoro Prasugrel |
| 82 | 8-bromo-11-(piperidin-4-ylidene)-6,11-dihydro-5H-benzo[5,6]cyclohepta[1,2-b]pyridine | ![]() | 17796-50-6 | Desloratadine Related Compound A |
| 83 | 14-Fluoro-11β,17-dihydroxy-16α-methyl-3,20-dioxopregna-1,4-dien-21-yl acetate | ![]() | NA | Dexamethasone Acetate EP Impurity B |
| 84 | (S)-4-(1-(2,3-dimethylphenyl)ethyl)-1-nitroso-1H-imidazole | ![]() | NA | Dexmedetomidine Nitroso Impurity |
| 85 | Dibutyl 2-bromopentanedioate | ![]() | 104867-13-2 | bromopentanedioate |
| 86 | 2,2-Dichloro-N-(2,6-dimethylphenyl)acetamide | ![]() | 39084-88-3 | CAX |
| 87 | [1,1'-Bi(cyclohexane)]-1-carboxylic acid | ![]() | 60263-54-9 | Dicycloamine Related Compound A USP |
| 88 | 3-(2-(cyclopent-1-en-1-yl)-2-hydroxy-2-phenylacetoxy)-1,1-dimethylpyrrolidin-1-ium bromide | ![]() | NA | Glycopyrrolate |
| 89 | N-ethylethanamine;2-hydroxybenzoic acid | ![]() | 4419-92-5 | Diethylamine Salicylate BP |
| 90 | 2-(Diphenylmethoxy)-N,N-dimethylethylamine N-oxide hydrochloride | ![]() | 13168-00-8 | Diphenhydramine-N-oxide hydrochloride |
| 91 | Sodium 1,4-bis(2-ethylhexyl) sulfosuccinate | ![]() | 10041-19-7 | Docusate Sodium Related Compound C Sodium Salt |
| 92 | (4R,6S)-rel-4-(Ethylamino)-5,6-dihydro-6-methyl-4H-thieno[2,3-b]thiopyran-2-sulfonamide 7,7-Dioxide Monohydrochloride | ![]() | 120279-37-0 | Dorzolamide Impurity B |
| 93 | (1S,3R,4S)-4-(2-((5-Chloropyridin-2-yl)amino)-2-oxoacetamido)-3-(5-methyl-4,5,6,7-tetrahydrothiazolo[5,4-c]pyridine-2-carboxamido)cyclohexane-1-carboxylic acid | ![]() | 834919-19-6 | Edoxaban Impurity 6 |
| 94 | tert-Butyl ((1S,2R,5R)-2-amino-5-(dimethylcarbamoyl)cyclohexyl)carbamate | ![]() | 2089454-69-1 | Edoxaban Impurity 57 |
| 95 | 2-Aminoethyl (Z)-3'-(2-(1-(3,4-dimethylphenyl)-3-methyl-5-oxo-1,5-dihydro-4H-pyrazol-4-ylidene)hydrazinyl)-2'-methoxy-[1,1'-biphenyl]-3-carboxylate 2,2,2-trifluoroacetate | - | 2336813-25-1 | Eltrombopag Choline RS |
| 96 | (E)-3'-(2-(1-(3,4-Dimethylphenyl)-3-methyl-5-oxo-1,5-dihydro-4H-pyrazol-4-ylidene)-1-hydroxyhydrazinyl)-2'-hydroxy-[1,1'-biphenyl]-3-carboxylic acid | ![]() | 2734533-17-4 | Eltrombopag N-Oxide Impurity |
| 97 | 2-Aminoethyl 3'-(2-(1-(3,4-dimethylphenyl)-3-methyl-5-oxo-1,5-dihydro-4H-pyrazol-4-ylidene)hydrazinyl)-2'-hydroxy-[1,1'-biphenyl]-3-carboxylate | ![]() | 2587607-84-7 | Eltrombopag Olamine Ester |
| 98 | 4-((2-cyanopropan-2-yl)(nitroso)amino)-2-fluoro-N-methylbenzamide | ![]() | NA | Enzalutamide Nitroso Impurity 1 |
| 99 | Sodium 2-((4aS,4bR,5aR,6aS,7R,8S,9aS,9bS)-7-hydroxy-4a,6a,8-trimethyl-2-oxo-2,4a,5a,6,6a,7,8,9,9a,9b,10,11-dodecahydrocyclopenta[1,2]phenanthro[4,4a-b]oxiren-7-yl)-2-oxoethyl phosphate | - | NA | Epoxybetamethasone Sodium Phosphate |
| 100 | (4R,5S,6S)-3-[[(3S,5S)-5-[[(3-Carboxyphenyl)amino]carbonyl]-3-pyrrolidinyl]thio]-6-[(1R)-1-hydroxyethyl]-4-methyl-7-oxo-1-azabicyclo[3.2.0]hept-2-ene-2-carboxylic Acid Monosodium Salt | - | 153773-82-1 | Ertapenem Sodium |
| 101 | 3-Hydroxyestra-1,3,5(10)-trien-17-one | ![]() | 53-16-7 | Estrone |
| 102 | 3-(Sulfooxy)estra-1,3,5(10)-trien-17-one | ![]() | 481-97-0 | Estrone Sulfate |
| 103 | Ethyl 4-(8-chloro-5, 6-dihydrobenzo [f] pyridine [2,3-b] [7] annulen-11- ylidene) piperidinecarboxylate | ![]() | 79794-75-5 | Loratadine |
| 104 | 4-(2-((6-Ethoxy-1H-benzo[d]imidazol-2-yl)thio)ethyl)morpholine | ![]() | 173352-21-1 | Fabomotizole |
| 105 | 3-[[[2-[(Diaminomethylidene)amino]thiazol-4-yl]methyl]sulfanyl]propanimidamide hydrochloride | ![]() | 88061-72-7 | Famotidine Amidine |
| 106 | 3-(((2-((Diaminomethylene)amino)thiazol-4-yl)methyl)sulfinyl)-N'-sulfamoylpropanimidamide | ![]() | 90237-03-9 | Famotidine Impurity A |
| 107 | 3-[[[2-[(diaminomethylidene)amino]thiazol-4-yl]methyl]sulfanyl]propanamide | ![]() | 76824-16-3 | Famotidine Related Compound D |
| 108 | 3-(((2-((Diaminomethylene)amino)thiazol-4-yl)methyl)sulfinyl)-N'-sulfamoylpropanimidamide | ![]() | 90237-03-9 | Famotidine Sulfoxide |
| 109 | (4-chlorophenyl)(2-hydroxyphenyl)methanone | ![]() | 55270-71-8 | Fenofibrate |
| 110 | 2-[4-[(1RS)-4-[4-(diphenylmethylidene)piperidin-1-yl]-1-hydroxybutyl]phenyl]-2-methylpropanoic acid | ![]() | 1187954-57-9 | Fexofenadine Hydrochloride EP Impurity G |
| 111 | 4-(4-Cyano-2-methoxyphenyl)-2,8-dimethyl-5-oxo-1,4,5,6-tetrahydro-1,6-naphthyridine-3-carboxamide | ![]() | 2087452-81-9 | Finerenone Desethoxy Impurity |
| 112 | 2-[2-Fluoro-4-(1H-1,2,4-triazol-1-yl)phenyl]-1,3-bis(1H-1,2,4-triazol-1-yl)propan-2-ol | ![]() | 871550-15-1 | Fluconazole Impurity A |
| 113 | 2-[2-Fluoro-4-(1H-1,2,4-triazol-1-yl)phenyl]-1,3-bis(1H-1,2,4-triazol-1-yl)propan-2-ol | ![]() | 871550-15-1 | Fluconazole Impurity B |
| 114 | 1,1′-(1,3-Phenylene)di-1H-1,2,4-triazole | ![]() | 514222-44-7 | Fluconazole Impurity C |
| 115 | 2-(4-Fluorophenyl)-1,3-bis(1H-1,2,4-triazol-1-yl)propan-2-ol | ![]() | 81886-51-3 | Fluconazole Impurity D |
| 116 | 2-(1H-1,2,4-Triazol-1-yl)-2',4'-difluoroacetophenone | ![]() ![]() | 86404-63-9 | Fluconazole Impurity E |
| 117 | (2RS)-2-(2,4-Difluorophenyl)-3-(1H-1,2,4-triazol-1-yl)propane-1,2-diol | ![]() | 118689-07-9 | Fluconazole Impurity F |
| 118 | 1-[[(2RS)-2-(2,4-Difluorophenyl)oxiran-2-yl]methyl]-1H-1,2,4-triazole | ![]() | 86386-76-7 | Fluconazole Impurity G |
| 119 | (2RS)-1-bromo-2-(2,4-difluorophenyl)-3-(1H-1,2,4-triazol-1-yl)propan-2-ol | ![]() | 150194-52-8 | Fluconazole Impurity H |
| 120 | 4-Amino-1-[(2RS)-2-(2,4-difluorophenyl)-2-hydroxy-3(1H-1,2,4-triazol-1-yl)propyl]-4H-1,2,4-triazolium bromide | ![]() | 150168-54-0 | Fluconazole Impurity I |
| 121 | 5-(2-Fluorophenyl)-1-methyl-7-nitro-3H-1,4-benzodiazepin-2(1H)-one | ![]() | 1622-62-4 | Flunitrazepam |
| 122 | (E)-N-Methyl-3-phenylprop-2-en-1-amine | ![]() | 83554-67-0 | Fluoxetine Impurity 6 |
| 123 | 10-(3-(4-(2-Hydroxyethyl)piperazin-1-yl)propyl)-2-(trifluoromethyl)-10H-phenothiazine 5,5-dioxide | ![]() | 1476-79-5 | Fluphenazine - Impurity B |
| 124 | 10-(3-(4-(2-Hydroxyethyl)piperazin-1-yl)propyl)-2-(trifluoromethyl)-10H-phenothiazine 5,5-oxide | ![]() | 1674-76-6 | Fluphenazine Decanoate - Impurity A |
| 125 | 10,10′-[piperazine-1,4-diylbis(propane-3,1-diyl)]bis[2-(trifluoromethyl)-10H-phenothiazine] | ![]() | 2379-89-8 | Fluphenazine Dihydrochloride Impurity D |
| 126 | 2-[4-[3-[2′,8-bis(trifluoromethyl)-10H-3,10′-biphenothiazin-10-yl]propyl]piperazin-1-yl]ethanol | ![]() | 2518011-27-1 | Fluphenazine Hydrochloride - Impurity C |
| 127 | 2-[4-[3-[7-[3-[4-(2-hydroxyethyl)piperazin-1-yl]propoxy]-2-(trifluoromethyl)-10H-phenothiazin-10-yl]propyl]piperazin-1-yl)ethanol | - | 2725395-34-4 | Fluphenazine Hydrochloride - Impurity F |
| 128 | 1-(3-Amino-4-hydroxyphenyl)-2-[[2-(4-methoxyphenyl)-1-methylethyl]amino]ethanol | ![]() | 150513-24-9 | Formoterol EP Impurity A |
| 129 | N-[2-Hydroxy-5-[1-hydroxy-2-[[2-(4-methoxyphenyl)-1-methylethyl]amino]ethyl]phenyl]acetamide | ![]() | 1795135-61-3 | Formoterol Fumarate - Impurity C |
| 130 | N-[5-[(1RS)-2-[Benzyl[(1RS)-2-(4-methoxyphenyl)-1-methylethyl]amino]-1-hydroxyethyl]-2-hydroxyphenyl]formamide | ![]() | 2514947-17-0 | Formoterol Fumarate Dihydrate - Impurity H (Freebase) |
| 131 | (2RS)-1-(4-Methoxyphenyl)propan-2-amine | ![]() | 64-13-1 | Formoterol EP Impurity G |
| 132 | 1-(4-Methoxyphenyl)-2-(benzylamino)propane | ![]() | 43229-65-8 | Formoterol Amine |
| 133 | 1-(4-Methoxyphenyl)-2-(benzylamino)propane. Hydrochloride | ![]() | 1049695-95-5 | Formoterol Amine Hydrochloride |
| 134 | 1-(4-Methoxyphenyl)-2-(benzylamino)propane. Hydrobromide | ![]() | 1184950-62-6 | Formoterol Amine Hydrobromide |
| 135 | 1- (4- (Benzyloxy)-3-nitrophenyl)-2-bromoethanone | ![]() | 43229-01-2 | Formoterol Bromide |
| 136 | 1-(3-Azabicyclo[3.3.0]oct-3-yl)-3-p-tolylsulphonylurea | ![]() | 21187-98-4 | Gliclazide EP |
| 137 | (1R,1'R,2S,2'S,3R,3'R)-1,1'-(Pyrazine-2,5-diyl)bis(butane-1,2,3,4-tetraol) | ![]() | 13185-73-4 | Glucosamine - Impurity B |
| 138 | (1R,2S,3R)-1-[5-[(2S,3R)-2,3,4-Trihydroxybutyl]-2-pyrazinyl]-1,2,3,4-butanetetrol | ![]() | 17460-13-8 | Glucosamine - Impurity C |
| 139 | (3RS)-3-[(2SR)-(2-(4-chlorophenyl)-2-cyclopentyl-2-hydroxyacetyl)oxy]-1,1-dimethylpyrrolidinium bromide | ![]() | 1404453-68-4 | Glycopyrronium Bromide EP Impurity I |
| 140 | (1S,3R,7S,8S,8R)-8-[2-[(2R,4R)-4-Hydroxy-6-oxotetrahydro-2H-pyran-2-yl]ethyl]-3,7-dimethyl-1,2,3,7,8,8a-hexahydronaphthalen-1-yl (2S)-methyl-(3S)-hydroxybutanoate | 127910-58-1 | Hydroxy Lovastatin | |
| 141 | (R)-4-(3-(4-Amino-3-(4-phenoxyphenyl)-1H-pyrazolo[3,4-d]pyrimidin-1-yl)piperidine-1-carbonyl)pent-4-enoic acid | -![]() | 2052279-48-6 | Ibrutinib Impurity D |
| 142 | 2-[4-(1-Hydroxy-2-methylpropyl)phenyl]propanoic acid | ![]() | 53949-53-4 | Ibuprofen EP Impurity L |
| 143 | Ibuprofen Ester Impurity | - | 87553-98-8 | Ibuprofen Poly(oxy-1,2-ethanediyl) Ester |
| 144 | (1R,3r,5S,8s)-3-[[(2RS)-3-hydroxy-2-phenylpropanoyl]oxy]-8-methyl-8-(1-methylethyl)-8-azoniabicyclo[3.2.1]octane | ![]() | 58073-59-9 | Ipratropium EP Impurity B |
| 145 | 2-((8S,9R,10S,11S,13S,14S,17R)-9-fluoro-11,17-dihydroxy-10,13-dimethyl-3-oxo-6,7,8,9,10,11,12,13,14,15,16,17-dodecahydro-3H-cyclopenta[a]phenanthren-17-yl)-2-oxoethyl dihydrogen phosphate | ![]() | 432-44-0 | Isoflupropedone-21 phosphate |
| 146 | 2-(2-chlorophenyl)-2-hydroxycyclohexan-1-one | ![]() | 1823362-29-3 | Ketamine EP Imp B |
| 147 | (2-chlorophenyl) (1-hydroxycyclopentyl) ketone | ![]() | 90717-17-2 | Ketamine EP Imp C |
| 148 | (S)-(1S,3R,7S,8S,8aR)-8-(2-((2S,4S)-4-hydroxy-6-oxotetrahydro-2H-pyran-2-yl)ethyl)-3,7-dimethyl-1,2,3,7,8,8a-hexahydronaphthalen-1-yl 2-methyl-3-oxobutanoate; (4R,6R)-6-[2-(1S,2S,6R,8S,8aR)-Monacolin X | ![]() | 96497-73-3 | Lovastatin |
| 149 | 5-Benzoyl-N-(1,3-dihydroxy-2-(hydroxymethyl)propan-2-yl)-2,3-dihydro-1H-pyrrolizine-1-carboxamide | ![]() | 167105-80-8 | Ketorolac Related Compound A |
| 150 | (1RS)-5-Benzoyl-2,3-dihydro-1H-pyrrolizin-1-ol | ![]() | 154476-25-2 | Ketorolac Related Compound B |
| 151 | 5-Benzoyl-2,3-dihydro-1H-pyrrolizin-1-one | ![]() | 113502-52-6 | Ketorolac Related Compound C |
| 152 | 5-Benzoyl-2,3-dihydro-1H-pyrrolizine | ![]() | 113502-55-9 | Ketorolac Related Compound D |
| 153 | 4,4'-(Methylenebis(azanediyl))bis(1-((2R,5S)-2-(hydroxymethyl)-1,3-oxathiolan-5-yl)pyrimidin-2(1H)-one | ![]() | 1904611-18-2 | Lamivudine Dimer |
| 154 | (2R,5S)-5-(4-amino-2-oxopyrimidin-1(2H)-yl)-1,3-oxathiolane-2-carboxylic acid | ![]() | 1822826-02-7 | Lamivudine Impurity A |
| 155 | (5Z,9α,11α,15R)-9,11,15-Trihydroxy-17-phenyl-18,19,20-trinor-prost-5-en-1-oic acid, (Z)-7-[(1R,2R,3R,5S)-3,5-Dihydroxy-2-[(3R)-3-hydroxy-5-phenylpentyl]cyclopentyl]hept-5-enoic acid | - | 41639-83-2 | Lat Acid / Latanoprost Related Compound E |
| 156 | 3,3′,5-Triiodo-L-thyronine | ![]() | 2/3/6893 | Levothyroxine EP Impurity A(Free Base) |
| 157 | (S)-2-Amino-3-(4-(4-hydroxy-3-iodophenoxy)-3,5-diiodophenyl)propanoic acid | ![]() | 55-06-1 | Levothyroxine EP Impurity A(NA Salt) |
| 158 | (2S)-2-Amino-3-[4-(3-chloro-4-hydroxy-5-iodophenoxy)-3,5-diiodophenyl]propanoic acid | ![]() | 1628720-66-0 | Levothyroxine EP Impurity B |
| 159 | (2S)-2-amino-3-[4-[4-(4-hydroxy-3,5-diiodophenoxy)-3,5-diidophenoxy]-3,5-diiodophenyl]propanoic acid | ![]() | 911661-90-0 | Levothyroxine EP Impurity F |
| 160 | 2-(4-(3,5-Diiodo-4-methoxyphenoxy)-3,5-diiodophenyl)ethan-1-amine | ![]() | 2230724-39-5 | Levothyroxine EP Impurity G |
| 161 | 2-(Diethylazinoyl)-N-(2,6-dimethylphenyl)acetamide | ![]() | 2903-45-9 | Lidocaine Related Compound B |
| 162 | 2',6'-Dimethylacetanilide | ![]() | 2198-53-0 | Lidocaine Related Compound C |
| 163 | Monoethylglycinexylidide | ![]() | 7728-40-7 | Lidocaine Related Compound D |
| 164 | 2,2'-Azanediylbis(N-(2,6-dimethylphenyl)acetamide) | ![]() | 745798-07-6 | Lidocaine Related Compound E |
| 165 | 2-(Diethylamino)-N-(2,3-dimethylphenyl)acetamide | ![]() | 142713-08-4 | Lidocaine Related Compound F |
| 166 | N- (2,6-Dimethylphenyl)-2- (isopropylamino)acetamide | ![]() | 42459-30-3 | Lidocaine Related Compound G |
| 167 | 2-(Diethylamino)-N-(2,4-dimethylphenyl)acetamide | ![]() | 17289-53-1 | Lidocaine Related Compound I |
| 168 | 2-Diethylamino-N-(2,5-dimethyl-phenyl)-acetamide | ![]() ![]() | 857570-37-7 | Lidocaine Related Compound J |
| 169 | N- (2,6-Dimethylphenyl)-2- (ethyl (methyl)amino)acetamide | ![]() | 74634-66-5 | Lidocaine Related Compound K |
| 170 | (S)-1-((S)-6-Amino-2-(((R)-1-carboxy-3-phenylpropyl)amino)hexanoyl)pyrrolidine-2-carboxylic acid | ![]() | 85955-59-5 | Lisinopril EP Impurity E |
| 171 | (2S)-1-[(2S)-6-Amino-2-[[(2S)-1-[[(5S)-5-[[(1S)-1-carboxy-3-phenylpropyl]amino]-6-[(2S)-2-carboxypyrrolidin-1-yl]-6-oxohexyl]amino]-1-oxo-4-phenylbutan-2-yl]amino]hexanoyl]pyrrolidine-2-carboxylic acid | - | 1356839-89-8 | Lisinopril EP Impurity G |
| 172 | 2-Butyl-5-chloro-1-[[2′-(1H-tetrazol-5-yl)biphenyl-4-yl]methyl]-1H-imidazol-4-yl]methanol | ![]() | 114799-13-2 | Losartan EP Impurity C |
| 173 | Lovastatin sodium salt | ![]() | 75225-50-2 | Lovastatin Impurity B/ Lovastatin Hydroxy Acid |
| 174 | (S)-(1S,3R,7S,8S,8aR)-3,7-Dimethyl-8-(2-((R)-6-oxo-3,6-dihydro-2H-pyran-2-yl)ethyl)-1,2,3,7,8,8a-hexahydronaphthalen-1-yl 2-methylbutanoate | ![]() | 109273-98-5 | Lovastatin Impurity C/ Anhydro Lovastatin |
| 175 | (2R,4R)-2-[2-[(1S,2S,6R,8S,8aR)-2,6-dimethyl-8-[[(2S)-2-methylbutanoyl]oxy]-1,2,6,7,8,8a-hexahydronaphthalen-1-yl]ethyl]-6-oxotetrahydro-2H-pyran-4-yl (3R,5R)-7-[(1S,2S,6R,8S,8aR)-2,6-dimethyl-8-[[(2S)-2-methylbutanoyl]oxy]-1,2,6,7,8,8a-hexahydronaphthalen-1-yl]-3,5-dihydroxyheptanoate | - | 149756-62-7 | Lovastatin Impurity D/ Lovastatin Dimer |
| 176 | (1S,3S,4aR,7S,8S,8aS)-8-[2-[(2R,4R)-4-Hydroxy-6-oxooxan-2-yl]ethyl]-3,7-dimethyl-1,2,3,4,4a,7,8,8a-octahydronaphthalen-1-yl (2S)-2-methylbutanoate | ![]() | 77517-29-4 | Lovastatin Impurity E/ Lovastatin USP RC A/ Dihydro Lovastatin |
| 177 | (1S,3R,7S,8S,8aR)-8-[2-[(2R,4R)-4-Hydroxy-6-oxooxan-2-yl]ethyl]-3,7-dimethyl-1,2,3,7,8,8a-hexahydronaphthalen-1-yl (2Z)-2-methylbut-2-enoate | ![]() | 1048973-04-1 | Lovastatin Impurity F |
| 178 | 4-[[[(5RS)-6-(5-Chloropyridin-2-yl)-7-oxo-6,7-dihydro-5H-pyrrolo[3,4-b]pyrazin-5-yl]oxy]carbonyl]-1-methylpiperazine 1-oxide | ![]() | 43200-96-0 | Metamizole Impurity D |
| 179 | Metformin Impurity A CRS | ![]() | 461-58-5 | Impurity |
| 180 | Metformin Impurity F | ![]() | 506-59-2 | Impurity |
| 181 | 11β,17,21-Trihydroxy-6β-methylpregna-1,4-diene-3,20-dione | ![]() | 18462-27-6 | Methylprednisolone - Impurity H (Freebase) |
| 182 | 1-(2,4-Dichloro-β-[(2,4-dichlorobenzyl)oxy]phenethyl)imidazole | ![]() | 22832-87-7 | Miconazole Nitrate EP |
| 183 | Mirabegron Nitroso Impurity 3 | NA | Nitrosoamine Impurity | |
| 184 | 2-(2-Amino-1,3-thiazol-4-yl)-N-[4-[2-[4-[2-[[(2R)-2-hydroxy-2-phenylethyl]amino]ethyl]anilino]-2-oxoethyl]-1,3-thiazol-2-yl]acetamide | ![]() | 2489747-26-2 | Mirabegron EP Impurity D |
| 185 | (14bRS)-2-methyl-3,4,10,14b-tetrahydropyrazino[2,1-a]pyrido[2,3-c][2]benzazepin-1(2H)-one | ![]() | 191546-96-0 | Mirtazapine EP Impurity C |
| 186 | Mitomycin Nitroso Impurity 1 | NA | Nitroso | |
| 187 | 2,2'-(Nitrosoazanediyl)diacetic acid | ![]() | 25081-31-6 | Nitrosoiminodiacetic |
| 188 | N-(2-(Diethylamino)ethyl)-5-((5-fluoro-2-oxoindolin-3-ylidene)methyl)- 2,4-dimethyl-1H-pyrrole-3-carboxamide | ![]() | 342641-94-5 | Diethylamino |
| 189 | N-(2-hydroxyethyl)-N-phenylnitrous Amide | ![]() | 25413-76-7 | hydroxyethyl |
| 190 | N-(2-p-Methoxyphenyl-1 methyl)ethylformamide | ![]() | 126002-14-0 | p |
| 191 | N,N-bis(2-aminoethyl)nitrous Amide | ![]() | 741659-46-1 | N |
| 192 | N-benzyl-N-methyl-1H-imidazole-1-carboxamide | ![]() | 548763-27-5 | benzyl |
| 193 | (4aS,6R,8aS)-3-methoxy-5,6,9,10,11,12-hexahydro-4aH-[1]benzofuro[3a,3,2-ef][2]benzazepin-6-ol | ![]() | 41303-74-6 | N-Desmethyl Galanthamine |
| 194 | N-Desmethyl N-Nitroso Neratinib | NA | Neratinib | |
| 195 | (3R,5S,E)-7-(4-(4-Fluorophenyl)-6-isopropyl-2-(methylsulfonamido)pyrimidin-5-yl)-3,5-dihydroxyhept-6-enoic acid | ![]() | 371775-74-5 | N-Desmethyl Rosuvastatin |
| 196 | (2R)-3-(2-methoxy-10H-phenothiazin-10-yl)-N,2-dimethylpropan-1-amine | ![]() | 37819-98-0 | N-Desmethyl Levomepromazine |
| 197 | N-Desmethyl N-Nitroso Relugolix Impurity | NA | N-Desmethyl N-Nitroso Relugolix Impurity | |
| 198 | N-Methyl-2-(1-phenyl-1-(pyridin-2-yl)ethoxy)ethan-1-amine succinate | ![]() | 2731375-61-2 | Desmethyldoxylamine |
| 199 | N-Desmethyl-N-Nitroso-Methylene Blue | NA | N-Desmethyl-N-Nitroso-Methylene Blue | |
| 200 | Methyl 2-Methyl-6-(3-nitrophenyl)-4-oxo-2-cyclohexene-1-carboxylate | ![]() | 87625-92-1 | Nicardipine Cyclohexenone Impurity |
Impurities Sheet 2
| Sr. No. | Product Name | Structure | CAS Number | API Name |
|---|---|---|---|---|
| 1 | 1,4-Dihydro-2,6-dimethyl-4- (3-nitrophenyl)-3,5-pyridinedicarboxylic acid monomethyl ester | ![]() | 74936-72-4 | Nicardipine Related Compound A |
| 2 | 4-Methyl-N-(3-(4-methyl-1H-imidazol-1-yl)-5-(trifluoromethyl)phenyl)-3-((4-(pyridin-3-yl)pyrimidin-2-yl)amino)benzamide hydrochloride dihydrate | ![]() | 923289-71-8 | Nilotinib Hydrochloride Dihydrate |
| 3 | 3- (4-Methyl-1H-imidazol-1-yl)-5- (trifluoromethyl)aniline | ![]() | 641571-11-1 | Nilotinib Impurity A |
| 4 | (1R,2S,5S)-N-((R)-1-cyano-2-((S)-2-oxopyrrolidin-3-yl)ethyl)-3-((S)-3,3-dimethyl-2-(2,2,2-trifluoroacetamido)butanoyl)-6,6-dimethyl-3-azabicyclo[3.1.0]hexane-2-carboxamide | ![]() | 2755812-41-8 | Nirmatrelvir R-isomer(CN) |
| 5 | N-Nitroso-N-methyl-4-aminobutyric acid | ![]() | 61445-55-4 | NMBA (N-Nitroso-N-methyl-4-aminobutyric Acid) Impurity Standard |
| 6 | (S)-5-Methoxy-2-(((4-methoxy-3,5-dimethylpyridin-2-yl)methyl)sulfinyl)-1-methyl-1H-benzo[d]imidazole | ![]() | NA | N-Methyl Esomeprazole |
| 7 | N-Nitrosamine Ticagrelor | ![]() | 2476859-55-7 | N-Nitrosamine Ticagrelor |
| 8 | N-Nitroso 4-(butyl amino) Benzoic Acid | ![]() | NA | Nitroso |
| 9 | 2-(4-(2-Hydroxy-3-(isopropyl(nitroso)amino)propoxy)phenyl)acetic acid | ![]() | NA | N-Nitroso Atenolol EP Impurity G |
| 10 | N-(3-(4-(Cyanomethyl)phenoxy)-2-hydroxypropyl)-N-isopropylnitrous amide | ![]() | NA | N-Nitroso Atenolol EP Impurity H |
| 11 | 2-(4-(3-(Ethyl(nitroso)amino)-2-hydroxypropoxy)phenyl)acetamide | ![]() | NA | N-Nitroso Atenolol EP Impurity I |
| 12 | 2-(4-(2-Hydroxy-3-(isopropyl(nitroso)amino)propoxy)phenyl)acetamide | ![]() | 134720-04-0 | N-Nitroso Atenolol |
| 13 | N-(2-Hydroxy-3-(4-(((2-isopropoxyethoxy)methoxy)methyl)phenoxy)propyl)-N-isopropylnitrous amide | ![]() | NA | N-Nitroso Bisoprolol EP Impurity A |
| 14 | N-(3-(4-((2-Isopropoxyethoxy)methyl)phenoxy)allyl)-N-isopropylnitrous amide | ![]() | NA | N-Nitroso Bisoprolol EP Impurity E |
| 15 | N-(3-(4-((2-Isopropoxyethoxy)methyl)phenoxy)allyl)-N-isopropylnitrous amide | ![]() | NA | N-Nitroso Bisoprolol EP Impurity G |
| 16 | N-Nitroso Bisoprolol | ![]() | 2820170-76-9 | N-Nitroso Bisoprolol |
| 17 | 7-chloro-2-[methyl(nitroso)amino]-5-phenyl-3H-1,4-benzodiazepin-4-ium-4-olate | ![]() | 51715-17-4 | N-Nitroso Chlordiazepoxide |
| 18 | N-Nitroso Desmethyl Benztropine | ![]() | NA | N-Nitroso Desmethyl Benztropine |
| 19 | N-methyl-1-(3-(2-(methyl(nitroso)amino)ethyl)-1H-indol-5-yl)methanesulfonamide | ![]() | NA | N-Nitroso Desmethyl Sumatriptan Impurity |
| 20 | 2-(Methyl(nitroso)amino)ethyl 4-(butylamino)benzoate | ![]() | NA | N-Nitroso Desmethyl Tetracaine |
| 21 | N-(3-(Dibenzo[b,e]oxepin-11(6H)-ylidene)propyl)-N-methylnitrous amide | ![]() | NA | N-Nitroso Doxepin |
| 22 | (Z)-3'-(2-(1-(3,4-dimethylphenyl)-3-methyl-5-oxo-1,5-dihydro-4H-pyrazol-4-ylidene)-1-nitrosohydrazinyl)-2'-hydroxy-[1,1'-biphenyl]-3-carboxylic acid | ![]() | NA | N-Nitroso Eltrombopag |
| 23 | 4-Chloro-2-(nitroso((tetrahydrofuran-2-yl)methyl)amino)-5-sulfamoylbenzoic acid | ![]() | NA | N-Nitroso Furosemide Impurity Standard |
| 24 | N-(4-methyl-3-(nitroso(4-(pyridin-3-yl)pyrimidine-2-yl)amino)phenyl)-4-((4-methylpiperzin-1-yl)methyl)benzamide | ![]() | NA | N-Nitroso Imatinib |
| 25 | (Methyl 2-(1-nitrosopiperidin-2-yl)-2-phenylacetate) | ![]() | 55557-03-4 | N-Nitroso Methylphenidate |
| 26 | N-Octyl-N-((2S,3R,4R,5R)-2,3,4,5,6-pentahydroxyhexyl)nitrous amide | ![]() | NA | N-Nitroso Miglustat Impurity 1 |
| 27 | N-(4,4-Diethoxybutyl)-N-methylnitrous amide | ![]() | NA | N-Nitroso N-Desmethyl DEBA Impurity |
| 28 | 3- (2- (Benzyl (nitroso)amino)ethyl) 5-methyl 2,6-dimethyl-4- (3-nitrophenyl)-1,4-dihydropyridine-3,5-dicarboxylate | ![]() | NA | N-Nitroso N-desmethyl Nicardipine |
| 29 | 2-Methyl-10-nitroso-4-(piperazin-1-yl)-10H-benzo[b]thieno[2,3-e][1,4]diazepine | ![]() | NA | N-Nitroso N-Desmethyl Olanzapine |
| 30 | 5-Nitroso-5,11-dihydro-10H-dibenzo[b,f]azepin-10-one | ![]() | NA | N-Nitroso Oxcarbazepine EP Impurity C |
| 31 | N-(4-Hydroxyphenyl)-N-nitrosoacetamide | ![]() | 146897-60-1 | N-Nitroso Paracetamol |
| 32 | N-(4-Hydroxyphenyl)-N-nitrosoacetamide | ![]() | 78658-64-7 | N-Nitroso Phenylephrine |
| 33 | 1,4-dinitrosopiperazine | ![]() | 140-79-4 | N-Nitroso Piperazine Dimer |
| 34 | N-(Tert-butyl)-N-(2-hydroxy-2-(4-hydroxy-3-(hydroxymethyl)phenyl)ethyl)nitrous amide | ![]() | 2919946-71-5 | N-Nitroso Salbutamol |
| 35 | 7-Nitroso-3-(trifluoromethyl)-5,6,7,8-tetrahydro-[1,2,4]triazolo[4,3-a]pyrazine | ![]() | NA | N-Nitroso Sitagliptin FP Impurity A |
| 36 | 1-(3-(2-(Dimethylamino)ethyl)-1-nitroso-1H-indol-5-yl)-N-methylmethanesulfonamide | ![]() | NA | N-Nitroso Sumatriptan |
| 37 | ((R)-5-(2-((2-(2-ethoxyphenoxy)ethyl)(nitroso)amino)propyl)-2-methoxybenzenesulfonamide) | ![]() | 2892260-31-8 | N-Nitroso Tamsulosin |
| 38 | 2-(dimethylamino)ethyl 4-(butyl(nitroso)amino)benzoate | ![]() | NA | N-Nitroso Tetracaine |
| 39 | 4-Methyl-2-[(1RS)-3-[(1-methylethyl)amino]-1-phenylpropyl]phenol | ![]() | 2680528-95-2 | N-Nitroso Tolterodine EP Impurity E |
| 40 | 1-Nitroso-4-(2,3,4-trimethoxybenzyl)piperazine hydrochloride | ![]() | NA | N-Nitroso Trimetazidine HCL |
| 41 | N-(1,3-Dimethyl-2,6-dioxo-1,2,3,6-tetrahydropyrimidin-4-yl)-N-(3-(4-(2-methoxyphenyl)piperazin-1-yl)propyl)nitrous amide | ![]() | NA | N-Nitroso Urapidil |
| 42 | 1-(2-((3-Bromo-2,4-dimethylphenyl)thio)phenyl)-4-nitrosopiperazine | ![]() | NA | N-Nitroso Vortioxetine Bromo Impurity |
| 43 | 1-(2-((2,4-Dimethylphenyl)thio)phenyl)-4-nitrosopiperazine | ![]() | NA | N-Nitroso Vortioxetine Sulfoxide |
| 44 | (S)-N-(2-(1-(3-ethoxy-4-methoxyphenyl)-2-(methylsulfonyl)ethyl)-1,3-dioxoisoindolin-4-yl)-N-nitrosoacetamide | ![]() | NA | N-Nitroso Apremilast |
| 45 | N-(6,7-bis(2-methoxyethoxy)quinazolin-4-yl)-N-(3-ethynylphenyl)nitrous amide | ![]() | NA | N-Nitroso Erlotinib |
| 46 | (E)-N-methyl-N-((5-(((2-((1-(methylamino)-2-nitrovinyl)amino)ethyl)thio)methyl)furan-2-yl)methyl)nitrous amide | ![]() | NA | N-Nitroso-Desmethyl-Ranitidine |
| 47 | N-Nitrosodibutylamine Impurity | ![]() | 924-16-3 | N-Nitrosodibutylamine Impurity |
| 48 | 2-(2-((2,6-Dichlorophenyl)(nitroso)amino)phenyl)acetic acid | ![]() | 66505-80-4 | N-Nitroso-Diclofenac |
| 49 | 2,2'-((2-((Carboxymethyl)(nitroso)amino)ethyl)azanediyl)diacetic acid | ![]() | 862542-34-5 | N-NITROSOETHYLENE DIAMINO TRIACETIC ACID |
| 50 | N-(7-Chloroquinolin-4-yl)-N-(5-(ethyl(2-hydroxyethyl)amino)pentan-2-yl)nitrous amide | ![]() | NA | N-Nitroso-Hydroxychloroquine |
| 51 | 1-Nitrosopiperazine | ![]() | 5632-47-3 | N-Nitrosopiperazine |
| 52 | 3-(Propan-2-yloxy)-19-nor-17α-pregna-3,5-dien-20-yn-17-yl acetate | ![]() | 2417092-17-0 | Norethindrone Acetate EP Impurity H |
| 53 | (E)-2-((4-cyanophenyl)amino)-4-((4-(2-cyanovinyl)-2,6-dimethylphenyl)amino)pyrimidine 1-oxide | ![]() | 2734549-19-8 | N-Oxide Rilpivirine Impurity |
| 54 | (Z)-(4-(4-Methylpiperazin-1-yl)-2-thioxo-1H-benzo[b][1,4]diazepin-3(2H)-ylidene)methyl acetate | ![]() | 1320360-87-9 | Olanzapine |
| 55 | 3-(Hydroxymethylene)-4-(4-methylpiperazin-1-yl)-1,3-dihydro-2H-benzo[b][1,4]diazepine-2-thione | ![]() | 1320360-86-8 | Thiohydroxymethylidene |
| 56 | 2-Fluoro-5-((4-oxo-3,4-dihydrophthalazin-1-yl)methyl)benzoic acid | ![]() ![]() | 763114-26-7 | Olaparib Acid Impurity |
| 57 | 4-(4-Fluoro-3-(piperazine-1-carbonyl)benzyl)phthalazin-1(2H)-one | ![]() | 763111-47-3 | Olaparib Amine Impurity |
| 58 | 6,6-Dimethyl-2-propyl-3-[[2′-(1H-tetrazol-5-yl)biphenyl-4-yl]methyl]-3,6-dihydro-4H-furo[3,4-d]imidazol-4-one | ![]() | 849206-43-5 | Olmesartan Medoxomil Related Compound A |
| 59 | 5-Methoxy-2-[[(4-methoxy-3,5-dimethylpyridin-2-yl)methyl]sulphonyl]-1H-benzimidazole | ![]() | 88546-55-8 | Omeprazole Impurity E |
| 60 | 4-Methoxy-2-[[(RS)-(5-methoxy-1H-benzimidazol-2-yl)sulfinyl]methyl]-3,5-dimethylpyridine 1-oxide | ![]() | 176219-04-8 | Omeprazole Impurity E |
| 61 | (3R)-3-Hydroxy-4,4-dimethyloxolan-2-one | ![]() | 599-04-2 | Pantolactone |
| 62 | 5-(Difluoromethoxy)-2-[(RS)-[(3,4-dimethoxypyridin-2-yl)methyl]sulfinyl]-1-methyl-1H-benzimidazole | ![]() | 624742-53-6 | Pantoprazole EP Impurity D |
| 63 | 5-(Difluoromethoxy)-2-[[(3,4-dimethoxypyridin-2-yl)methyl]sulfanyl]-1H-benzimidazole | ![]() | 102625-64-9 | Pantoprazole Impurity B |
| 64 | 5-(Difluoromethoxy)-2-mercapto-1H-benzimidazole | ![]() | 97963-62-7 | Pantoprazole Impurity C |
| 65 | 6,6'-Bis(difluoromethoxy)-2,2'-bis[[(3,4-dimethoxypyridin-2-yl)methyl]sulfinyl]-1H,1'H-5,5'-bibenzimidazolyl | ![]() | 2115779-15-0 | Pantoprazole Impurity E |
| 66 | 6-(Difluoromethoxy)-2-[(RS)-[(3,4-dimethoxypyridin-2-yl)methyl]sulfinyl]-1-methyl-1H-benzimidazole | ![]() | 721424-06-7 | Pantoprazole Impurity F |
| 67 | (3RS,4RS)-3-[[(1,3-benzodioxol-5-yl)oxy]methyl]-4-(4-fluorophenyl)piperidine | ![]() | 72473-26-8 | Paroxetine EP Impurity E |
| 68 | (2S)-2-[4-[2-(2-Amino-1-methyl-4-oxo-4,7-dihydro-1H-pyrrolo[2,3-d]pyrimidin-5-yl)ethyl]benzamido]pentanedioic acid | ![]() | 869791-42-4 | Pemetrexed Impurity A |
| 69 | (2S)-2-[(4S)-4-[4-[2-(2-Amino-4-oxo-4,7-dihydro-1H-pyrrolo[2,3-d]pyrimidin-5-yl)ethyl]benzamido]-4-carboxybutanamido]pentanedioic acid | ![]() ![]() | 144051-68-3 | Pemetrexed Impurity D |
| 70 | (2R)-2-[4-[2-(2-Amino-4-oxo-4,7-dihydro-1H-pyrrolo[2,3-d]pyrimidin-5-yl)ethyl]benzamido]pentanedioic acid | ![]() | 182009-04-7 | Pemetrexed Impurity E |
| 71 | 2-[4-[3-[2-chloro-10H-phenothiazin-10-yl]propyl]piperazin-1-yl]ethanol (perphenazine) | ![]() | 58-39-9 | Perphenazine |
| 72 | 4-Phenylbutyric acid | ![]() | 1821-12-1 | Phenyl Butyric Acid |
| 73 | 1,4-bis(3-(2-chloro-10H-phenothiazin-10-yl)propyl)piperazine | ![]() | 500305-74-8 | Prochlorperazine Impurity D |
| 74 | 2',8-Dichloro-10-(3-(4-methylpiperazin-1-yl)propyl)-10H-3,10'-biphenothiazine | ![]() | 1310578-37-0 | Prochlorperazine Impurity E |
| 75 | 4-Acetamido-5-chloro-N-(1-(3-methoxypropyl)piperidin-4-yl)-2,3-dihydrobenzofuran-7-carboxamide | ![]() | 2181480-01-1 | Prucalopride Impurity 3 |
| 76 | 2-[2-[4-(5-Oxidodibenzo[b,f][1,4]thiazepin-11-yl)piperazin-1-yl]ethoxy]ethanol | ![]() | 329216-63-9 | Quetiapine Sulfoxide Dihydrochloride |
| 77 | 2-((1R,5S,6R)-6-(aminomethyl)-3-ethylbicyclo[3.2.0]hept-3-en-6-yl)acetic acid | ![]() | 2704669-29-2 | Racemic Mirogabalin Besylate |
| 78 | (2R,3aR,6aR)-1-[(2S)-2-[[(2S)-1-ethoxy-1-oxo-4-phenylbutan-2-yl]amino]propanoyl]octahydrocyclopenta[b]pyrrole-2-carboxylic acid | ![]() | 129939-63-5 | Ramipril EP Impurity N |
| 79 | 4-(2-(Tert-butylamino)ethyl)-2-(hydroxymethyl)phenol | ![]() | 1823256-56-9 | Levalbuterol USP Related Compound A |
| 80 | 4-[(1RS)-2-(tert-butylamino)-1-hydroxyethyl]-2-(methoxymethyl)phenol | ![]() | 18910-70-8 | Levalbuterol Related Compound C |
| 81 | 5-[(1RS)-2-(tert-butylamino)-1-hydroxyethyl]-2-hydroxybenzaldehyde | ![]() | 156339-88-7 | Salbutamol EP Impurity D |
| 82 | 4-(2-(Tert-butylamino)-1-hydroxyethyl)-2-(ethoxymethyl)phenol | ![]() | 754926-25-5 | Levalbuterol Related Compound E |
| 83 | (R)-1-(4-(Benzyloxy)-3-(hydroxymethyl)phenyl)-2-(tert-butylamino)ethan-1-ol | ![]() | 174607-68-2 | Levalbuterol USP Related Compound F |
| 84 | 4-[(1RS)-2-(tert-butylamino)-1-methoxyethyl]-2-(hydroxymethyl)phenol | ![]() | 870076-72-5 | Salbutamol EP Impurity A |
| 85 | 4-[[4-[[4-[(1Z)-2-Cyanoethenyl]-2,6-dimethylphenyl]amino]-2-pyrimidinyl]amino]-benzonitrile | ![]() | 500287-94-5 | Rilpivirine Z-Isomer |
| 86 | N-(4,6-diamino-2-(1-(2-fluorobenzyl)-1H-pyrazolo[3,4-b]pyridin-3-yl)pyrimidin-5-yl)-N-methylnitrous amide | ![]() | NA | Riociguat Nitroso Impurity-1 |
| 87 | (S)-3-(1-(Dimethylamino)ethyl)phenyl ethyl(methyl)carbamate (2R,3R)-2,3-dihydroxysuccinate | ![]() | 129101-54-8 | Rivastigmine for PPHS (EP CRS) |
| 88 | 3-[(1R)-1-(dimethylamino)ethyl]phenyl ethyl(methyl)carbamate | ![]() | 415973-05-6 | Rivastigmine Impurity D (EP CRS) |
| 89 | (3R,5S,6E)-7-[4-(4-fluorophenyl)-2-[[[2-[4-(4-fluorophenyl)-6-(1-methylethyl)-2-[methyl(methylsulfonyl)-amino]pyrimidin-5-yl]-2-hydroxyethyl]sulfonyl](methyl)-amino]-6-(1-methylethyl)pyrimidin-5-yl]-3,5-dihydroxyhept-6-enoic acid | -![]() | 2226413-61-0 | Rosuvastatin Acid - Impurity E |
| 90 | (3R,5S,E)-3,5-Dihydroxy-7-(4-isopropyl-2-(N-methylmethylsulfonamido)-6-phenylpyrimidin-5-yl)hept-6-enoic acid | ![]() | 847849-66-5 (Freebase) | Rosuvastatin Acid - Impurity M (Calcium Salt) (EP/BP) |
| 91 | (3R,6E)-7-[4-(4-fluorophenyl)-2-(N-methylmethanesulfonamido)-6-(propan-2-yl)pyrimidin-5-yl]-3-hydroxy-5-oxohept-6-enoic acid | ![]() | 1422619-13-3 | Rosuvastatin EP Impurity C |
| 92 | (3R,5S)-5-(8-Fluoro-4-isopropyl-2-(N-methylmethylsulfonamido)-5,6-dihydrobenzo[h]quinazolin-6-yl)-3,5-dihydroxypentanoic acid | ![]() | 1335110-44-5 | Rosuvastatin EP Impurity H |
| 93 | (3RS,5RS,6E)-7-[4-(4-fluorophenyl)-2-(N-methylmethanesulfonamido)-6-(propan-2-yl)pyrimidin-5-yl]-3,5-dihydroxyhept-6-enoic acid Sodium salt | ![]() | 1007871-86-4 | Rosuvastatin Sodium Salt (Mixture of (3R,5R), (3S,5S), (3R,5S) and (3S,5R)Isomers) |
| 94 | (3S,5R,6R)-6-(3-Chlorophenyl)-6-hydroxy-5-methylthiomorpholine-3-carboxylic acid | ![]() | 2133460-43-0 | S,R,R-Thiomorpholine Derivative |
| 95 | 2-Methylpropan-2-amine 4-(((2S,4R)-1-([1,1'-biphenyl]-4-yl)-5-ethoxy-4-methyl-5-oxopentan-2-yl)amino)-4-oxobutanoate | ![]() | 1924620-56-3 | Sacubitril Tert Butylamine |
| 96 | 2,2'-oxybis(methylene)bis{4-[2-(tert-butylamino)-1-hydroxyethyl]phenol} | ![]() | 147663-30-7 | Salbutamol EP Impurity F |
| 97 | 5-[(1RS)-2-(tert-butylamino)-1-hydroxyethyl]-2-hydroxybenzaldehyde | ![]() | 156339-88-7 | Salbutamol Impurity D |
| 98 | 2-Bromo-1-(4-hydroxyphenyl)ethanone | ![]() | NA | Salbutamol Dibromo Impurity |
| 99 | (4bR,8aS,9R)-11-(cyclopropylmethyl)-4,8a-dihydroxy-6-oxo-6,7,8,8a,9,10-hexahydro-5H-9,4b-(epiminoethano)phenanthrene-3-carboxamide | ![]() | 852626-89-2 | Samidorphan |
| 100 | 2-Amino-6-[(1R,2S)-1,2-dihydroxypropyl]pteridin-4(1H)-one | ![]() | 22150-76-1 | Sapropterine Dihydrochloride-I |
| 101 | (S)-2-amino-6-((1R,2S)-1,2-dihydroxypropyl)-5,6,7,8-tetrahydropteridin-4(1H)-one dihydrochloride | ![]() | 69056-39-9 | Sapropterine Dihydrochloride-II |
| 102 | (6R)-5,6,7,8-Tetrahydrobiopterin dihydrochloride | ![]() | 69056-38-8 | Sapropterine Dihydrochloride-III |
| 103 | 4-(3,4-dichlorophenyl)-3,4-dihydronaphthalen-2(1H)-one | ![]() | 944054-44-8 | Sertraline 2-one |
| 104 | (R)-1-(3-Hydroxypropyl)-5-(2-((2-(2-(2,2,2-trifluoroethoxy)phenoxy)ethyl)amino)propyl)indoline-7-carbonitrile | ![]() | 885340-13-6 | Silodosin Nitrile Impurity |
| 105 | (3R,5R)-7-[(1S,2S,6R,8S,8aR)-8-[(2,2-dimethylbutanoyl)oxy]-2,6-dimethyl-1,2,6,7,8,8a-hexahydronaphthalen-1-yl]-3,5-dihydroxyheptanoic acid Sodium | ![]() | 101314-97-0 | Simvastatin EP Impurity A |
| 106 | (1S,3R,7S,8S,8aR)-8-[2-[(2R,4R)-4-hydroxy-6-oxooxan-2-yl]ethyl]-3,7-dimethyl-1,2,3,7,8,8a-hexahydronaphthalen-1-yl (2S)-2-methylbutanoate | ![]() | 75330-75-5 | Simvastatin EP Impurity E |
| 107 | (1S,3R,7S,8S,8aR)-8-[2-[(2R,4R)-4-hydroxy-6-oxooxan-2-yl]ethyl]-3,7-dimethyl-1,2,3,7,8,8a-hexahydronaphthalen-1-yl 2,2-dimethylbut-3-enoate | ![]() | 1449248-72-9 | Simvastatin EP Impurity -G |
| 108 | (4R,6R)-4-hydroxy-6-(2-((1S,2S,6R,8S,8aR)-8-hydroxy-2,6-dimethyl-1,2,6,7,8,8a-hexahydronaphthalen-1-yl)ethyl)tetrahydro-2H-pyran-2-one | ![]() | 79952-42-4 | Simvastatin EP impurity- H |
| 109 | (S)-(1S,3R,7S,8S,8aR)-8-(2-((2R,4R)-4-hydroxy-6-oxotetrahydro-2H-pyran-2-yl)ethyl)-3,7-dimethyl-1,2,3,7,8,8a-hexahydronaphthalen-1-yl 2-methylbutanoate | ![]() | 864357-88-0 | Simvastatin EP Impurity -J |
| 110 | (1S,3S,4aR,7S,8S,8aS)-8-[2-[(2R,4R)-4-Hydroxy-6-oxooxan-2-yl]ethyl]-3,7-dimethyl-1,2,3,4,4a,7,8,8a-octahydronaphthalen-1-yl 2,2-dimethylbutanoate | ![]() | NA | Simvastatin EP Impurity -K |
| 111 | (1S,3R,7S,8S,8aR)-8-(2-((2R,4R,5S)-4-Hydroxy-5-methyl-6-oxotetrahydro-2H-pyran-2-yl)ethyl)-3,7-dimethyl-1,2,3,7,8,8a-hexahydronaphthalen-1-yl 2,2-dimethylbutanoate | ![]() | 477877-98-8 | Simvastatin EP Impurity -N |
| 112 | (Z)-1-(4-(1-(((4-Cyclohexyl-3-(trifluoromethyl)benzyl)oxy)imino)ethyl)-2-ethylbenzyl)azetidine-3-carboxylic acid | ![]() | 2768181-14-0 | Siponimid Z-Isomer |
| 113 | (S)-3-Amino-1-(3-(trifluoromethyl)-5,6-dihydro-[1,2,4]triazolo[4,3-a]pyrazin-7(8H)-yl)-4-(2,4,5-trifluorophenyl)butan-1-one phosphate | ![]() | 823817-58-9 | Sitagliptin S-isomer Impurity |
| 114 | 4-Oxo-4-phenylbutyric acid | ![]() | 2051-95-8 | Sodium Phenylbutyrate Related Compound-A |
| 115 | alpha-Tetralone, 3,4-Dihydro-1(2H)-naphthalenone | ![]() | 529-34-0 | Sodium Phenylbutyrate Related Compound-B |
| 116 | 4-(β-D-Glucopyranosylamino)-N-(5-methyl-3-isoxazolyl)benzenesulfonamide | - | 119691-75-7 | Sulfamethoxazole N4-Glucoside |
| 117 | N-methyl-1-[3-[2-(methylamino)ethyl]-1H-indol-5-yl]methanesulfonamide | ![]() | 88919-51-1 | Sumatriptan EP Impurity B |
| 118 | 1-[3-(2-aminoethyl)-1H-indol-5-yl]-N-methylmethanesulfonamide | ![]() | 88919-22-6 | Sumatriptan EP Impurity E |
| 119 | [(2R)-1-[6-(propan-2-yloxycarbonylamino)purin-9-yl]propan-2-yl]oxymethyl-(propan-2-yloxycarbonyloxymethoxy)phosphinic acid | ![]() | 1093279-76-5 | Tenofovir Disoproxil Dimer Impurity |
| 120 | (8R)-9-(6-Isopropylaminocarbamate-9H-purin-9-yl)-5-hydroxy-8-methyl-2,4,7-trioxa-5-phosphanonanoic Acid 1-Methylethyl Ester 5-Oxide | - | 1244022-56-7 | Tenofovir Disoproxil Impurity E |
| 121 | isopropyl hydrogen ((((R)-1-(6-amino-9H-purin-9-yl)propan-2-yl)oxy)methyl)phosphonate | ![]() | 1346597-36-1 | Tenofovir Isopropyl Impurity |
| 122 | (2R)-4-Oxo-2-(3-thiazolidinylcarbonyl)-1-pyrrolidinecarboxylic Acid 1,1-Dimethylethyl Ester | ![]() | 1415908-67-6 | tert-butyl(R)-4-oxo-2-(thiazolidine-3-carbonyl)pyrrolidine-1-carboxylate) |
| 123 | 10-[2-[(2RS)-1-methylpiperidin-2-yl]ethyl]-2-(methylsulfonyl)-10H-phenothiazine 5,5-dioxide | ![]() | 100574-22-9 | Thioridazine EP Impurity A |
| 124 | 10-[2-[(2RS)-1-methylpiperidin-2-yl]ethyl]-2-(methylsulfinyl)-10H-phenothiazine 5-oxide | ![]() | 53926-89-9 | Thioridazine EP Impurity D |
| 125 | 10-[2-[(2RS)-1-methylpiperidin-2-yl]ethyl]-2-(methylsulfonyl)-10H-phenothiazine | ![]() | 14759-06-9 | Thioridazine EP Impurity E |
| 126 | P,P-di(aziridin-1-yl)-N-(2-hydroxyethyl)phosphinothioic amide | ![]() | 121258-29-5 | Thiotepa EP Impurity C |
| 127 | (1S,2S,3R,5S)-3-(7-(((1R,2S)-2-(4-fluorophenyl)cyclopropyl)amino)-5-(propylthio)-3H-[1,2,3]triazolo[4,5-d]pyrimidin-3-yl)-5-(2-hydroxyethoxy)cyclopentane-1,2-diol | ![]() | 1643378-47-5 | Ticagrelor Impurity N |
| 128 | (E)-7-[(1R,2R,3R,5S)-3,5-Dihydroxy-2-[(E)-(3S)-3-hydroxy-3-methyloct-1-enyl]cyclopentyl]-5-heptenoic acid | - | 76498-29-8 | Trans-Carboprost |
| 129 | 2-[[6-oxo-2-[[[(6-oxo-6,9-dihydro-1H-purin-2-yl)amino]methyl]amino]-1,6-dihydro-9H-purin-9-yl]methoxy]ethyl L-valinate | ![]() | 2519847-26-6 | Valaciclovir - Impurity N (Trifluoroacetate Salt) |
| 130 | ((((Methylenebis(azanediyl))bis(6-oxo-1,6-dihydro-9H-purine-2,9-diyl))bis(methylene))bis(oxy))bis(3-hydroxypropane-2,1-diyl) (2S,2'S)-bis(2-amino-3-methylbutanoate) | ![]() | 1401661-96-8 | Valganciclovir N3,N3’-Methylene Dimer |
| 131 | 4,5-Dinitro-10-nitroso-10-azatricyclo[6.3.1.02,7]dodeca-2,4,6-triene | ![]() | 2803960-63-4 | Varenicline KSM Nitroso Impurity |
| 132 | 7,8,9,10-Tetrahydro-6H-6,10-methanoazepino[4,5-g]quinoxaline (2R,3R)-2,3-Dihydroxysuccinic Acid | ![]() | 375815-87-5 | Varenicline Tartrate |
| 133 | N-Methyl-N-(3-chloropropyl)-3,4-dimethoxy-N-methylbenzeneethanamine | ![]() | 36770-74-8 | Verapamil EP Impurity D |
| 134 | 2-chloro-N-(4-chloro-3-(5-hydroxypyridin-2-yl)phenyl)-4-(methylsulfonyl)benzamide | ![]() | 1370525-64-6 | Vismodegib M3 |
| 135 | 1-[2-(4-Tolylthio)phenyl]piperazine hydrochloride | ![]() | 508234-03-5 | Vortioxetine Impurity 3 HCl Salt |
| 136 | (S)-N-Methyl-N-(2-(5-((2-oxooxazolidin-4-yl)methyl)-1H-indol-3-yl)ethyl)nitrous amide | ![]() | NA | Zolmitriptan Desmethyl Nitroso Impurity |
| 137 | 4-[[[(5RS)-6-(5-Chloropyridin-2-yl)-7-oxo-6,7-dihydro-5H-pyrrolo[3,4-b]pyrazin-5-yl]oxy]carbonyl]-1-methylpiperazine 1-oxide | ![]() | 43200-96-0 | Zopiclone Impurity A (Zopiclone N-Oxide) |
| 138 | Dimethyl (4RS)-2-[(2-aminoethoxy)methyl]-4-(2-chlorophenyl)-6-methyl-1,4-dihydropyridine-3,5-dicarboxylate | ![]() | 140171-66-0 | Amlodipine Related Compound F |
| 139 | 3-Ethyl 5-methyl 4-(2-chlorophenyl)-2-((2-(1,3-dioxoisoindolin-2-yl)ethoxy)methyl)-6-methyl-1,4-dihydropyridine-3,5-dicarboxylate | ![]() | 88150-62-3 | Amlodipine Related Compound D |
| 140 | Diethyl 2-((2-aminoethoxy)methyl)-4-(2-chlorophenyl)-6-methyl-1,4-dihydropyridine-3,5-dicarboxylate maleate | ![]() | 400024-12-6 | Amlodipine Ethyl Analog |
| 141 | 3-Ethyl 5-methyl 4-(2-chlorophenyl)-2-((2-(2-((2-hydroxyethyl)carbamoyl)benzamido)ethoxy)methyl)-6-methyl-1,4-dihydropyridine-3,5-dicarboxylate | ![]() | NA | Hydroxyethyl Phthalyl Amlodipine |
| 142 | 4-((1-((4-Cyano-3-(trifluoromethyl)phenyl)amino)-2-methyl-1-oxopropan-2-yl)amino)-2-fluoro-N-methylbenzamide | ![]() | 1289942-55-7 | Enzalutamide Compound D |
| 143 | N-Methyl-N- ( (3R,4R)-4-methylpiperidin-3-yl)-7H-pyrrolo [2,3-d]pyrimidin-4-amine | ![]() | 477600-74-1 | Tofacitinib Amine Impurity |
| 144 | N-Nitrosodimethylamine | ![]() | 62-75-9 | N-Nitrosodimethylamine |
| 145 | N-Nitroso Apixaban Impurity B | ![]() | NA | N-Nitroso Apixaban Impurity B |
| 146 | (E)-N-methyl-2-((1-nitroso-3-(2-(pyridin-2-yl)vinyl)-1H-indazol-6-yl)thio)benzamide | ![]() | NA | N-Nitroso Axitinib |
| 147 | N-(4-(3,4-Dichlorophenyl)-1,2,3,4-tetrahydronaphthalen-1-yl)-N-methylnitrous amide | ![]() | NA | N-Nitroso Sertraline |
| 148 | Methyl 12-oxooctadecanoate | ![]() | 2380-27-0 | Methyl 12-Ketostearate |
| 149 | (3R)-3-[[(1S)-1-Phenyl-3,4-dihydroisoquinoline-2(1H)-carbonyl]oxy]-1-azabicyclo[2.2.2]octane 1-oxide | ![]() | 180272-28-0 | Solifenacin N-Oxide |
| 150 | 4-(2,3-Dichlorophenyl)-1-[4-[(2-oxo-1,2,3,4-tetrahydroquinolin-7-yl)oxy]butyl]piperazine 1-oxide | ![]() | 573691-09-5 | Aripiprazole Related Compound F |
| 151 | 1-((2-Chlorophenyl)diphenylmethyl)-2-methyl-1H-imidazole | ![]() | 98751-53-2 | Clotrimazole Impurity 2 |
| 152 | 1-((2-Chlorophenyl)diphenylmethyl)-4-methyl-1H-imidazole | ![]() | 289887-34-9 | Clotrimazole Impurity 3 |
| 153 | 3-Amino-3-(4-chlorophenyl)propionic Acid | ![]() | 19947-39-8 | chlorophenyl |
| 154 | 3-(1-((3,3-Diphenylpropyl)(nitroso)amino)-2-methylpropan-2-yl) 5-methyl 2,6-dimethyl-4-(3-nitrophenyl)-1,4-dihydropyridine-3,5-dicarboxylate | ![]() | NA | Lercanidipine Nitroso Impurity 1 |
| 155 | 3-(1-((3,3-Diphenylpropyl)(nitroso)amino)-2-methylpropan-2-yl) 5-ethyl 2,6-dimethyl-4-(3-nitrophenyl)-1,4-dihydropyridine-3,5-dicarboxylate | ![]() | NA | N-Desmethyl N-Nitroso Lercanidipine EP Impurity C |
| 156 | (S)-N-Methyl-N-(2-(5-((2-oxooxazolidin-4-yl)methyl)-1H-indol-3-yl)ethyl)nitrous amide | ![]() | NA | N-Nitroso Zolmitriptan EP Impurity G |
| 157 | (4S)-4-[[3-[2-(methylamino)ethyl]-1H-indol-5-yl]methyl]-1,3-oxazolidin-2-one | ![]() | 139264-35-0 | Zolmitriptan EP Impurity G |
| 158 | (1RS)-1-[4-hydroxy-3-(hydroxymethyl)phenyl]-2-[[6-(3-phenylpropoxy)hexyl]amino]ethanol | ![]() | 94749-11-8 | Salmeterol EP Impurity C |
| 159 | (1RS)-1-[4-hydroxy-3-(hydroxymethyl)phenyl]-2-[[6-(3-phenylpropoxy)hexyl]amino]ethanol | ![]() | 1391052-04-2 | Salmeterol EP Impurity D |
| 160 | (1RS)-1-(4-hydroxy-3-methylphenyl)-2-[[6-(4-phenylbutoxy)hexyl]amino]ethanol | ![]() | 1391054-40-2 | Salmeterol EP Impurity F |
| 161 | 4-(1-hydroxy-2-((6-phenethoxyhexyl)amino)ethyl)-2-(hydroxymethyl)phenol | ![]() | 94749-02-7 | Salmeterol EP Impurity B |
| 162 | 4-{1-Hydroxy-2-[(2-hydroxy-5-{1-hydroxy-2-[6-(4-phenylbutoxy)hexylamino]ethyl}benzyl)[6-(4-phenylbutoxy)hexyl]amino]ethyl}-2-(hydroxymethyl)phenol | - | 2470130-36-8 | Salmeterol Impurity G |
| 163 | 16α,17-[Butylidenebis(oxy)]-21-hydroxypregna-1,4-diene-3,11,20-trione | ![]() | 216453-74-6 | Budesonide Related Compound L |
| 164 | 11β,16α,17,21-Tetrahydroxypregna-1,4-diene-3,20-dione | ![]() | 13951-70-7 | Budesonide EP Impurity A |
| 165 | 16α,17-[(1RS)-Butylidenebis(oxy)]-11β-hydroxy-3,20-dioxopregna-1,4-dien-21-al | ![]() | 85234-63-5 | Budesonide EP Impurity D |
| 166 | 16α,17-[1-Methylethylidenebis(oxy)]-11β,21-dihydroxypregna-1,4-diene-3,20-dione | ![]() | 638-94-8 | Budesonide EP Impurity F |
| 167 | 16α,17-[(1RS)-Butylidenebis(oxy)]-11β,21-dihydroxypregn-4-ene-3,20-dione | ![]() | 137174-25-5 | Budesonide EP Impurity G |
| 168 | 11β,17,21-Trihydroxy-3,20-dioxopregna-1,4-dien-16α-yl butanoate | ![]() | 113930-13-5 | Budesonide EP Impurity I |
| 169 | 16α,17-[[(1RS)-Butylidenebis(oxy)]-21-hydroxypregna-1,4,9(11)-triene-3,20-dione | ![]() | 313474-58-7 | Budesonide EP Impurity H |
| 170 | 16α,17-[(1RS)-Butylidenebis(oxy)]-11β,21-dihydroxypregna-1,4-diene-3,20-dione-21-butyrate | ![]() | 2408495-96-3 | Budesonide 21-Butyrate Impurity |
| 171 | 16α,17-[(1RS)-Ethylidenebis(oxy)]-11β,21-dihydroxypregna-1,4-diene-3,20-dione | ![]() | 1040085-98-0 | Budesonide EP Impurity B |
| 172 | (6aR,6bS,7S,8aS,8bS,11aR,12aS,12bS)-7-Hydroxy-6a,8a-dimethyl-4-oxo-10-propyl-1,2,4,6a,6b,7,8,8a,11a,12,12a,12b-dodecahydro-8bH-naphtho[2',1':4,5]indeno[1,2-d][1,3]dioxole-8b-carboxylic acid | 192057-49-1 | Budesonide 17-Carboxylic Acid Impurity | |
| 173 | 2-((8S,9S,10R,11S,13S,14S,17R)-17-Acetoxy-11-hydroxy-10,13-dimethyl-3-oxo-6,7,8,9,10,11,12,13,14,15,16,17-dodecahydro-3H-cyclopenta[a]phenanthren-17-yl)-2-oxoethyl acetate | ![]() | 17652-24-3 | Prednisolone 17,21-Diacetate |
| 174 | 16α,17-[(1RS)-Butylidenebis(oxy)]-11β-hydroxy-17-(hydroxymethyl)-D-homoandrosta-1,4-diene-3,17a-dione | ![]() | 1040085-99-1 | Budesonide EP Impurity C |
| 175 | Calcium (R,E)-7-(2-cyclopropyl-4-(4-fluorophenyl)quinolin-3-yl)-3-hydroxy-5-oxohept-6-enoate | ![]() | 2180095-22-9 | Pitavastatin 5-Oxo Impurity Calcium Salt |
| 176 | N-METHYL-N-(4-NITROPHENYL) ACETAMIDE | ![]() | 121-95-9 | Apixaban |
| 177 | 2,2-DICHLORO-N-METHYL-N-(4-NITROPHENYL) ACETAMIDE | ![]() | 78466-25-8 | Apixaban |
| 178 | (3R)-3-Amino-4-(2,5-difluorophenyl)-1-[3-(trifluoromethyl)-5,6-dihydro[1,2,4]triazolo[4,3-a]pyrazin-7(8H)-yl]butan-1-one | ![]() | 2088771-61-1 | Sitagliptin Triazecine Analog |
| 179 | 5-(4-(Hexyloxy)-1,2,5-thiadiazol-3-yl)-1-methyl-1,2,3,6-tetrahydropyridine 1-oxide | ![]() | 174656-58-7 | Xanomeline N-Oxide |
| 180 | Isopropyl 5-(Diphenylphosphoryl)pentanoate | ![]() | 2088449-88-9 | Latanoprost EP Impurity D |
| 181 | 2-(Morpholin-4-yl)ethyl (4Z)-6-(4-hydroxy-6-methoxy-7-methyl-3-oxo-1,3-dihydroisobenzofuran-5-yl)-4-methylhex-4-enoate | ![]() | 2286278-51-9 | Mycophenolate Mofetil EP Impurity C |
| 182 | TERT-BUTYL 4-(2-CARBAMOYLBENZOFURAN-5-YL) PIPERAZINE-1-CARBOXYLATE (BOC AMIDE) | ![]() | 183288-44-0 | Impurity |
| 183 | 4-[(RaSa)-1-Methylpiperidin-4-ylidene]-4,9-dihydro-10H-benzo[4,5]cyclohepta[1,2-b]thiophen-10-one N-oxide | ![]() | 88456-70-6 | Ketotifen Fumarate EP Impurity D |
| 184 | 1-(2-(4-(hydroxymethyl)-N-methylbenzamido)ethyl)piperidin-4-yl [1,1'-biphenyl]-2-ylcarbamate | ![]() | 1682660-39-4 | |
| 185 | 2-(tert-butylamino)-1-[4-hydroxy-3-(hydroxymethyl)phenyl]ethan-1-one (salbutamone) | ![]() | 156547-62-5 | Salbutamol EP Impurity J |
| 186 | 11β,17,21-Trihydroxy-6α-methylpregn-4-ene-3,20-dione | ![]() | 1625-39-4 | Methylprednisolone Impurity F |
| 187 | 6,6′-Methylenebis[(3E)-9-methyl-3-[(2-methyl-1H-imidazol-1-yl)methyl]-1,2,3,9-tetrahydro-4H-carbazol-4-one] | ![]() | 1076198-52-1 | Ondansetron Dimer |
| 188 | 11β,17α,21-Trihydroxypregn-4-ene-3,20-dione | ![]() | 50-23-7 | Hydrocortisone Acetate EP- Impurity A (Hydrocortisone) |
| 189 | 11β,17-Dihydroxypregn-4-ene-3,20-dione | ![]() | 641-77-0 | Hydrocortisone EP Impurity L |
| 190 | 21-Acetoxy-1,4-pregnadiene-11β,17α-diol-3,20-dione | ![]() | 52-21-1 | Hydrocortisone Acetate EP - Impurity C (prednisolone acetate) |
| 191 | Cortisone 21-acetate; 17a,21-Dihydroxypregn-4-ene-3,11,20-trione 21-acetate | ![]() | 50-04-4 | Hydrocortisone Acetate EP - Impurity D (cortisone acetate) |
| 192 | 17-Hydroxy-3,20-dioxopregna-4,9(11)-dien-21-yl acetate | ![]() | 7753-60-8 | Hydrocortisone Acetate EP- Impurity E |
| 193 | 11α,17-Dihydroxy-3,20-dioxopregn-4-en-21-yl acetate | ![]() | 1250-97-1 | Hydrocortisone Acetate EP - Impurity F (epi-hydrocortisone acetate) |
| 194 | 17-Hydroxy-3,20-dioxopregn-4-ene-11β,21-diyl diacetate | ![]() | 81968-66-3 | Hydrocortisone Acetate EP - Impurity G |
| 195 | (3R,4R,5R)-2-(4-Chloro-3-(4-ethoxybenzyl)phenyl)-5-((R)-1,2-dihydroxyethyl)-2-methoxytetrahydrofuran-3,4-diol | ![]() | 2133407-77-7 | Dapagliflozin Methoxy Furanose Impurity |
| 196 | ETHYL (Z)-2-CHLORO-2-(2-(2-METHOXYPHENYL)HYDRAZONO)ACETATE | ![]() | 2228050-22-2 | Apixaban Impurity |
| 197 | Ethyl 2-chloro-2-(2-(3-methoxyphenyl)hydrazono)acetate | ![]() | 405872-78-8 | Apixaban Impurity |
| 198 | 2-(2-Ethoxyethoxy)ethanol | ![]() | 5197-66-0 | Impurity |
| 199 | 2-[2-(2- Chloro Ethoxy) Ethoxy] Ethanol | ![]() | 5197-62-6 | |
| 200 | 2-(((1,3-Dichloropropan-2-yl)oxy)methyl)oxirane | ![]() | 23916-49-6 | Propranolol |
| 201 | 1-Chloro-3- (1-naphthyloxy)-2-propanol | ![]() | 20133-93-1 | CHLOROHYDRIN |
| 204 | 3-(4-Morpholinyl)-1-[4-(2-oxo-1-piperidinyl)phenyl]-2(1H)-pyridinone | ![]() | 2413365-22-5 | Apixaban |
| 205 | 5-Chloro-N-(4-(5-morpholino-6-oxo-3,6-dihydropyridin-1(2H)-yl)phenyl)pentanamide | ![]() | 1643330-62-4 | Apixaban |
| 207 | 3-chloro-1-[4-(2-oxopiperidin-1-yl)phenyl]-5,6-dihydro pyridin-2(1H)-one | ![]() | 1589504-29-9 | Apixaban |
| 208 | 1-(4-Aminophenyl)-3-chloro-5,6-Dihydropyridin-2(1H)-one | ![]() | 1801881-15-1 | Apixaban |
| 209 | Methyl 12-oxooctadecanoate | ![]() | 2380-27-0 | Methyl 12-Ketostearate |
| 210 | (1RS,2R,3R,6R,7S,8S,9R,10R,12R)-7-[(2,6-dideoxy-3-[(2R,3R)-2,3-dihydroxypentan-2-yl]-1-hydroxy-2,6,8,10,12-pentamethyl-9-[[3,4,6-trideoxy-3-(dimethylamino)-β-D-xylo-hexopyranosyl]oxy]-4,13-dioxabicyclo[8.2.1]tridecan-5-one | - | 105900-46-7 | Erythromycin EP Impurity J |
| 211 | 4-methyl-6-(1-methyl-1H-benzimidazol-2-yl)-2-propyl-1H-benzimidazole (as per EP) ; (1,7’-Dimethyl-2’-propyl-1H,3’H-2,5’-bibenzo[d]imidazole monohydrate) (as Per USP) | - | 152628-02-9 | Telmisartan ImpurityA |
| 212 | 4′-[[7-methyl-5-(1-methyl-1H-benzimidazol-2-yl)-2-propyl-1H-benzimidazol-1-yl]methyl][1,1′-biphenyl]-2-carboxylic acid | ![]() | 1026353-20-7 | Telmisartan ImpurityB |
| 213 | Tert-butyl 4′-[[4-methyl-6-(1-methyl-1H-benzimidazol-2-yl)-2-propyl-1H-benzimidazol-1-yl]methyl][1,1′-biphenyl]-2-carboxylate | ![]() | 144702-26-1 | Telmisartan Impurity C |
| 214 | 4′, 4”’-[(4′-Methyl-2′-propyl[2, 6′-bi-1H-benzimidazole]-1, 1′-diyl)bis(methylene)]bis[1, 1′-biphenyl]-2-carboxylic Acid | ![]() | 884330-14-7 | Telmisartan Dimer |
| 215 | 5-(4-Fluorophenyl)-N-(2-hydroxyphenyl)-2-(1-methylethyl)-4-phenyl-1-[2-[(2R,4R)-tetrahydro-4-hydroxy-6-oxo-2H-pyran-2-yl]ethyl]-1H-pyrrole-3-carboxamide | ![]() | 163217-74-1 | Atorvastatin Lactone |
| 216 | (3RS,5SR)-7-[2-(4-fluorophenyl)-3-phenyl-4-(phenylcarbamoyl)-5-(propan-2-yl)-1H-pyrrol-1-yl]-3,5-dihydroxyheptanoic acid | ![]() | 842103-12-2 | Atorvastatin Impurity B |
| 217 | (3R,5R)-7-[2,3-bis(4-fluorophenyl)-4-(phenylcarbamoyl)-5-(propan-2-yl)-1H-pyrrol-1-yl]-3,5-dihydroxyheptanoic acid calcium salt | ![]() | 693793-53-2 | Atorvastatin Impurity C |
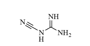
| 218 | Cyanoguanidine | ![]() | 461-58-5 | Metformin Impurity A |
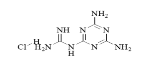
| 219 | (4,6-Diamino-1,3,5-triazin-2-yl)guanidine Hydrochloride | ![]() | 461-58-5 | Metformin Impurity B |
| 220 | 5-(Difluoromethoxy)-2-[[(3,4-dimethoxypyridin-2-yl)methyl]sulfonyl]-1H-benzimidazole | ![]() | 127780-16-9 | Pantoprazole Sulfone |
| 221 | 2-(((6-(Difluoromethoxy)-1H-benzo[d]imidazol-2-yl)sulfinyl)methyl)-3,4-dimethoxypyridine 1-oxide | ![]() | 953787-60-5 | Pantoprazole N-oxide |
| 222 | 5-(Difluoromethoxy)-2-[[(3,4-dimethoxypyridin-2-yl)methyl]sulfonyl]-1H-benzimidazole | ![]() | 127780-16-9 | Pantoprazole Impurity A |
| 223 | 5-Methoxy-2-[[(4-methoxy-3,5-dimethylpyridin-2-yl)methyl]sulfonyl]-1H-benzimidazole | ![]() | 88546-55-8 | Omeprazole Sulfone Impurity |
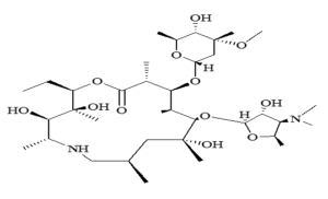
| 224 | 6-Demethyl Azithromycin | ![]() | 76801-85-9 | Azithromycin Impurity A |
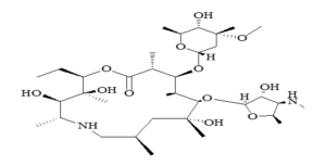
| 225 | Azithromycin N-desmethyl | ![]() | 172617-84-4 | Azithromycin desmethyl Impurity |




































































































































-

























































































































































































































































-












