API Intermediates
We supply a comprehensive range of API Intermediates that cater to the synthesis requirements of pharmaceutical manufacturers, R&D centers, CROs, and specialty chemical companies. Our intermediates are developed with a strong focus on purity, consistency, and regulatory compliance, ensuring compatibility with both early-stage development and commercial-scale API production.
Our strengths include process development, custom synthesis, scale-up capabilities, and flexible batch sizes, making us a reliable partner across gram, kilo, and multi-ton supply needs. With a commitment to quality, timely delivery, and competitive pricing, we help pharmaceutical companies streamline their supply chain and accelerate development timelines.
| S. No | Name of Intermediate | Structure | CAS No | Application/End Use |
|---|---|---|---|---|
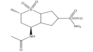
| 1 | N-(4S,6S)-6-methyl-7,7-dioxido-2-sulfamoyl-5,6-dihydro-4H-thieno[2,3-b]thiopyran-4-yl)acetamide | ![]() | 147200-03-1 | Dorzolamide Hydrochloride |
| 2 | 4,6-dichloro-5-nitro-2-(propylthio)pyrimidine | ![]() | 145783-14-8 | Ticagrelor |
| 3 | (2R)-6-Fluoro-3,4-dihydro-2-[(2S)-2-oxiranyl]-2H-1-benzopyran | ![]() | 793669-26-8 | Nebivolol |
| 4 | 3-Morpholino-1-(4-nitrophenyl)-5,6-dihydropyridin-2(1H)-one | ![]() | 503615-03-0 | Apixaban |
| 5 | 1-(4-Aminophenyl)-3-morpholino-5,6-dihydropyridin-2(1H)-one | ![]() | 1267610-26-3 | Apixaban |
| 6 | Ethyl (2Z)-chloro[(4-methoxyphenyl)hydrazono]ethanoate | ![]() | 473927-63-8 | Apixaban |
| 7 | N- (2,6-Dimethylphenyl)piperidine-2-carboxamide | ![]() | 15883-20-2 | Ropivacaine |
| 8 | 7-Hydroxy-3,4-dihydro-1H-quinolin-2-one | ![]() | 22246-18-0 | Aripiprazole |
| 9 | 2-(4-Nitrophenyl) ethyl amine Hydrochloride | ![]() | 29968-78-3 | Mirabegron |
| 10 | (R)-2-(4-Aminophenethylamino)-1-Phenylethanolhydrochloride | ![]() | 521284-22-0 | Mirabegron |
| 11 | (S)-1-(2-Chloroacetyl) pyrrolidine-2-carbonitrile | ![]() | 207557-35-5 | Vildagliptin |
| 12 | 3-Amino-1-Adamantanol | ![]() | 702-82-9 | Vildagliptin |
| 13 | L-Valine Methyl Ester Hydrochloride | ![]() | 6306-52-1 | Valsartan/ Losartan |
| 14 | 2- Cyano-4-bromo methyl biphenyl (BrOTBN) | ![]() | 114772-54-2 | Valsartan/ Losartan |
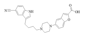
| 15 | Vilazodone Carboxylic Acid/ Vilazodone Ethyl Ester | ![]() | 163521-19-5 | Vilazodone HCL |
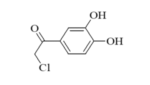
| 16 | 2-chloro-1-(3,4-dihydroxyphenyl)ethan-1-one | ![]() | 99-40-1 | Norepinephrine HCl |
| 17 | 5-methoxy-2-{[(4-methoxy-3,5-dimethyl-2-pyridinyl)methyl]thio}-1H-benzimidazole | ![]() | 73590-85-9 | Omeprazole sulfide |
| 18 | 4-(2-Keto-1-benzimidazolinyl)piperidine | ![]() | 20662-53-7 | Benperidol |
| 19 | 4-Chloro-4'-Fluorobutyrophenone | ![]() | 3874-54-2 | Benperidol |
| 20 | (S)-4-Hydroxy-2-(3-methoxypropyl)-3,4-dihydro-2H-thieno[2-e]thiazine-6-sulfonamide 1,1-dioxide | ![]() | 154127-42-1 | Brinzolamide |
| 21 | 3- (2-Bromoacetyl)-5-chloro-2-thiophenesulfonamide | ![]() | 160982-11-6 | Brinzolamide |
| 22 | (R)-dihydro-4-propylfuran-2(3H)-one | ![]() | 63095-51-2 | Brivaracetem |
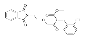
| 23 | Methyl 2-(o-chlorobenzylidene)-4-(2-phthalimidoethoxy)acetoacetate | ![]() | 400024-08-0 | Amoldipine |
| 24 | Dimethyl 4-(2-chlorophenyl)-2-{[2-(1.3-dioxo-1.3-dihydro-2H-isoindol-2-yl) ethoxy] methyl}-6-methyl-1.4-dihydro-3.5-pyridine dicarboxylate | ![]() | 140171-50-2 | Amoldipine |
| 25 | Diethyl 4-(2-chlorophenyl)-2-{[2-(1.3-dioxo-1.3-dihydro-2H-isoindol-2-yl) ethoxy] methyl}-6-methyl-1.4-dihydro-3.5-pyridine dicarboxylate | ![]() | 140171-49-9 | Amoldipine |
| 26 | methyl 2-ethoxy [[2′-(hydroxyamidino) biphenyl-4-yl]methyl]-1H-benzimidazole-7-carboxylate | ![]() | 147403-65-4 | Azilasartan |
| 27 | Methyl 2-ethoxy-1-((2'-(5-oxo-2,5-dihydro-1,2,4-oxadiazol-3-yl)-[1'-biphenyl]-4-yl)methyl)-1H-benzo[d]imidazole-7-carboxylate | ![]() | 147403-52-9 | Azilasartan |
| 28 | 4-hydroxymethyl-5-methyl-1,3-dioxol-2-one | ![]() | 91526-18-0 | empagliflozin |
| 29 | (5-bromo-2-chlorophenyl)(4-fluorophenyl)methanone | ![]() | 915095-85-1 | empagliflozin |
| 30 | (S)-(5-bromo-2-chlorophenyl)(4-((tetrahydrofuran-3-yl)oxy)phenyl)methanone | ![]() | 915095-84-0 | empagliflozin |
| 31 | (5-bromo-2-chlorophenyl)(4-(((S)-tetrahydrofuran-3-yl)oxy)phenyl)methanol | ![]() | 1800196-43-3 | empagliflozin |
| 32 | 1,4-Bis(bromomethyl)benzene | ![]() | 623-24-5 | Plerixafor |
| 33 | 4-(4-aminophenyl)morpholin-3-one | ![]() | 438056-69-0 | Rivaroxaban |
| 34 | 2-(3-chloro propoxy)-1-methoxy-4-nitro benzene | ![]() | 92878-95-0 | Bosutinib |
| 35 | 2-cyano-N-(2,4-dichloro-5-methoxy phenyl) acetamide | ![]() | 846023-24-3 | Bosutinib |
| 36 | (R)-N-Benzyl-2-(benzyloxy carbonyl)amino-3-hydroxy propionamide | ![]() | 219835-31-1 | Lacosamide |
| 37 | Ethyl 4-(1-hydroxy-1-methyl ethyl)-2-propyl-imidazole-5-carboxylate | ![]() | 144689-93-0 | Olmesartan |
| 38 | (S)-2-Amino-5-Methoxytetralin hydrochloride | ![]() | 58349-17-0 | Rotigotine |
| 39 | (S)-1,2,3,4-Tetrahydro-5-methoxy-N-propyl-2-naphthal enamine Hydrochloride | ![]() | 93601-86-6 | Rotigotine |
| 40 | 3-(4-chlorobutyl)-5-cyanoindol | ![]() | 143612-79-7 | Vilazodone HCL |
| 41 | Ethyl-5-Amino-1-Benzofuran-2-Carboxylate HCl | ![]() | 183288-42-8 | Vilazodone HCL |
| 42 | 2-bromocyclobutanone | ![]() | 1192-01-4 | Antibiotics |
| 43 | 2-hydroxymethyl-3-methyl-4-(2,2,2-trifluoroethoxy)pyridine | ![]() | Lansoprazole | |
| 44 | 2-Chloromethyl-3-methyl-4-(2,2,2-trifluoroethoxy)pyridine | ![]() | 127337-60-4 | Lansoprazole |
| 45 | (S)-4-(Difluoromethyl)oxazolidin-2-one | ![]() | 2059155-02-9 | - |
| 46 | 1,3-Dihydro-2H-benzo[d]imidazole-2-thione | ![]() | 583-39-1 | Lansoprazole |
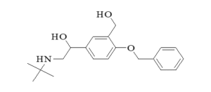
| 47 | (1RS)-1-[4-(benzyloxy)-3-(hydroxymethyl)phenyl]-2-(tert-butylamino)ethan-1-ol | ![]() | 56796-66-8 | Salbutamol sulfate |
| 48 | (S)-2-(Aminomethyl)-N-Ethyl Pyrrolidine | ![]() | 22795-99-9 | Levosulpiride |
| 49 | 5-Chloro-2-(methylamino)benzophenone | ![]() | 1022-13-5 | Diazepam, Medazepam, Ketazolam |
| 50 | (3S)-3-[4-[(5-Iodo-2-Chlorophenyl) Methyl] Phenoxy] Tetrahydrofuran | ![]() | 915095-94-2 | Empagliflozin |








































